Foram encontradas 661 questões.
- Organização dos PoderesFunções Essenciais à JustiçaMinistério PúblicoPrincípios Institucionais do MP
São princípios institucionais tanto do Ministério Público quanto da Defensoria Pública expressos na Constituição Federal
Provas
Suponha que determinado magistrado esteja sendo processado e julgado no Superior Tribunal de Justiça, por supostamente ter cometido crime comum. Suponha, ainda, que, no curso do processo, ele se aposente voluntariamente. Nessa situação, a competência para processá-lo e julgá-lo será do
Provas
Conforme o CPP, o juiz estará impedido de exercer jurisdição no processo se
Provas
Assinale a opção correta acerca da criminologia e de seus métodos.
Provas
O oxigênio representa aproximadamente 20% (em volume) do ar atmosférico em relação aos outros gases presentes na mistura. Quando o oxigênio e o monóxido de carbono se encontram, ocorre a seguinte reação química.
CO (g) + ½ O2 (g) → CO2 (g)
Nessa situação, considerando que todos os gases estejam submetidos à mesma pressão e temperatura, o volume de ar necessário para a combustão completa de 20 L de monóxido de carbono é
Provas
Considere as equações químicas a seguir.
I. NH3 + H2O ⇌ NH4+ + OH−
II.Cu2+ + 4 NH3 ⇌ [Cu(NH3)4]2+
III.2 Fe3+ + Sn2+ ⇌ 2 Fe2+ + Sn4+
Ocorre reação de oxirredução apenas na(s) equação(ões)
Provas
O BCAA (do inglês branch chain amino acids) é um importante suplemento alimentar que participa da síntese de proteínas musculares. A valina é um dos aminoácidos presentes na sua composição. A equação a seguir mostra a ionização da valina em meio aquoso.

Considerando as informações precedentes, assinale a opção correta.
Provas
Amidas são compostos que têm a estrutura genérica:

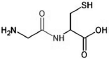
em que R1 e R2 representam cadeias carbônicas. Esses compostos podem ser preparados pela reação entre um ácido carboxílico e uma amina, tal como ilustrado na equação a seguir, a qual representa uma reação entre os aminoácidos glicina e cisteína que produz o composto A.

Acerca desse assunto e considerando que MH = 1 g/mol; MC = 12 g/mol; MN = 14 g/mol; MO = 16 g/mol; MS = 32 g/mol, assinale a opção correta.
Provas
A cinética de decomposição do brometo de nitrosila em óxido nítrico e bromo, conforme equação química mostrada a seguir, pode ser expressa pela lei de velocidade d[NOBr]/dt = −k.[NOBr]2, em que [NOBr] representa a concentração de brometo de nitrosila em mol/L; t, o tempo de reação em segundos; e k, a constante cinética do processo.
2 NOBr (g) !$ \rightarrow !$ 2 NO (g) + Br2 (g)
Sob condições experimentais, em que a constante cinética da reação em apreço vale 2 L. mol−1 . s−1, assinale a opção que corresponde ao tempo de meia vida do processo quando se parte de uma concentração de 0,1 mol/L de brometo de nitrosila.
Provas
Para produzir alimentos em quantidade e qualidade, é necessário o uso de pesticidas ou agrotóxicos. Um pesticida bastante utilizado nas culturas de frutas e hortaliças é o herbicida 2,4-D. Considerando que essas substâncias podem deixar resíduos nos alimentos, em uma análise de 100 g de morango foram encontrados 0,10 mg desse herbicida.
De acordo com o texto, a concentração, em partes por milhão (ppm), do herbicida 2,4-D encontrada na referida análise é igual a
Provas
Caderno Container