Foram encontradas 100 questões.
Considerando um sistema de controle do tipo PID, regido pela equação
(onde t é o tempo, u(t) é a saída e e(t) a entrada), analise as seguintes afirmativas:
1. Quanto maior KP, maior a tendência do sistema ao overshoot.
2. Caso não ocorra overshoot, quanto menor KP, maior o tempo de resposta.
3. O termo derivativo tem como principal função minimizar o erro final do sistema.
4. O termo integrativo tem como principal função minimizar as oscilações da saída.
Assinale a alternativa correta:
Provas
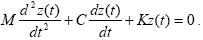
O sistema massa-mola-amortecedor representado na figura abaixo, é governado pela equação ![]()

Considerando que no instante inicial a massa está parada a uma distância z0 da posição de repouso da mola, a transformada de Laplace do sistema é:
Provas
A figura abaixo apresenta a saída de um sistema de controle.

Considerando que o valor desejado para saída seja 1,0, julgue as seguintes afirmativas
1. O valor do overshoot está entre 0,4 e 0,5.
2. O maior erro tem o mesmo valor que o overshoot.
3. O sistema, neste caso, apresenta um comportamento estável.
4. O valor do overshoot é 22.
Assinale a alternativa correta:
Provas
Em relação a sistemas de controle de laço fechado (ou em feedback), considere as seguintes afirmativas:
1. Têm maior instabilidade do que sistemas de controle de laço aberto.
2. Dependem fundamentalmente de uma calibração para alcançar maior precisão.
3. Têm maior precisão do que sistemas de controle de laço aberto.
4. Podem ser contínuos ou discretos.
Assinale a alternativa correta:
Provas
3 kg de um líquido (com calor específico de 4000 J/kg.K) deve ser aquecido até 80 °C, usando um aquecedor elétrico de 200 W acoplado a um temporizador. O sistema de controle mede a temperatura inicial (Ti) e ajusta o temporizador para tempo = 60(80 − Ti) segundos. Considerando que o recipiente não seja totalmente adiabático, analise as seguintes afirmações sobre este sistema de controle.
1. Trata-se de um sistema de controle em laço aberto.
2. Trata-se de um sistema de controle em laço fechado (ou em feedback).
3. A temperatura final será sempre 80 °C, independentemente das perdas.
4. O tempo de aquecimento será sempre 60(80 - Ti) segundos, independentemente das perdas.
5. O sistema de controle é automático.
Assinale a alternativa correta
Provas
Existem vários mecanismos que tendem a aumentar a resistência mecânica dos aços-carbonos. Analise as afirmativas abaixo:
1. A diminuição do tamanho dos grãos aumenta a resistência mecânica.
2. O alívio das tensões térmicas aumenta a resistência mecânica.
3. A deformação a frio aumenta a resistência mecânica.
4. O aumento da temperatura do material aumenta a resistência mecânica
5. A inclusão de impurezas no metal aumenta a resistência mecânica.
Assinale a alternativa correta:
Provas
O tratamento térmico que consiste no aquecimento do aço até a sua completa austenitização e posterior resfriamento ao ar, é conhecido como:
Provas
Em relação às ligas de ferro-carbono, pode-se afirmar que quanto menor o conteúdo de carbono:
Provas
Analisando o diagrama de equilíbrio de fases abaixo, analise as seguintes afirmativas:

1. Uma liga com composição de B maior que C3 e temperatura abaixo de T1 não apresenta a fase α em nenhuma situação.
2. Uma liga com composição de B entre C1 e C3, e temperatura acima de T1, apresenta sempre uma fase líquida.
3. Uma liga com composição de B abaixo de C2 e temperatura acima de T1, não apresenta a fase β em nenhuma situação.
4. Uma liga com temperatura acima de T1 apresenta sempre uma fase líquida.
Assinale a alternativa correta:
Provas
As ligas de aço-carbono, com conteúdo de carbono entre 0,022 e 2,14% (em massa), quando aquecidas durante tempo suficiente entre 912 °C e 1147 °C, apresentam-se na fase austenítica. Ao ser resfriada abaixo de 727 °C, as seguintes fases estarão presentes na liga:
Provas
Caderno Container