Foram encontradas 80 questões.
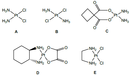
Após a descoberta da atividade antitumoral da cisplatina, um grande número de complexos da platina vem sendo sintetizados e avaliados quanto à sua atividade antineoplásica. Foram desencadeadas mundialmente várias pesquisas e mais de 3.000 compostos análogos foram sintetizados. Abaixo seguem alguns exemplos de complexos de platina e alguns destes já foram aprovados para a comercialização:

Com base nos complexos apresentados, assinale a alternativa correta:
Provas
A cromatografia compreende um grupo diversificado e importante de métodos, que permitem ao cientista separar componentes muito semelhantes de misturas complexas. Sobre a cromatografia é INCORRETO afirmar que:
Provas
A análise de UV-Visível de uma solução contendo o complexo [Co(NH3)6]Cl3 apresentou uma absorbância de 0,913 no comprimento de onda máximo, em 474 nm. Sabendo-se que a concentração da solução foi de 1,66 x 10-2 M e a célula utilizada foi de 1,0 cm, qual é a absortividade molar, em L cm-1mol-1, do complexo [Co(NH3)6]Cl3 em 474 nm?
Provas
Assinale a alternativa que contém um agente tóxico classificado como volátil:
Provas
Sobre avaliação de toxicidade, um agente é considerado teratogênico quando:
Provas
A disponibilidade química, concentração plasmática e tecidual de um agente tóxico, dependem, principalmente, das vias de introdução ou contato com o agente, dos sítios de armazenamento, da passagem deste agente pelas barreiras hematoencefálica e placentária, da sua biotransformação e eliminação. Estes fatores se referem a:
Provas
O chumbo ocorre como contaminante ambiental, em conseqüência de seu largo emprego industrial. Dessa forma, o chumbo existente no ambiente pode ser introduzido no organismo por inalação, ingestão ou pela via cutânea. Em relação às suas ações tóxicas no organismo, assinale a alternativa correta:
Provas
J. A. S., agricultor, 35 anos, chega a um hospital apresentando os seguintes sinais e sintomas: constricção do músculo esfíncter da pupila (miose) e do músculo ciliar (bloqueio do reflexo da acomodação), dor ocular, congestão conjuntival, sudorese, salivação, aperto no tórax, respiração sibilante, náuseas, vômitos, cólicas intestinais, diarréia, fasciculações musculares, micção involuntária, bradicardia e hipotensão.
Logo após exame médico, foi diagnosticado:
Provas
“São preparações líquidas, obtidas da extração de vegetais com água fria ou quente, sendo que esta preparação não é obtida por ebulição.” Assinale a alternativa que contém o tipo de preparação descrita acima:
Provas
O extrato de hamamélis é conhecido por ser uma solução hidroalcoólica do óleo volátil da Hamamelis virginiana. Assinale a alternativa que contenha a classe do principal composto bioativo encontrado neste extrato:
Provas
Caderno Container