Foram encontradas 80 questões.
Estação Carandiru, o filme
A história começa quando o médico Drauzio Varella resolve fazer um trabalho de prevenção à AIDS no maior presídio da América Latina: a Casa de Detenção de São Paulo. Ali, toma contato com o que, aqui fora, temos até medo de imaginar: violência, superlotação, instalações precárias, falta de assistência médica e jurídica, falta de tudo. O Carandiru, com seus mais de sete mil detentos, merece sua fama de “inferno na terra”. Porém, nosso personagem logo percebe que, mesmo vivendo numa situação limite, os internos não representam figuras demoníacas. Ao contrário, ele testemunha solidariedade, organização e, acima de tudo, uma grande disposição de viver. Não é pouco, e é o suficiente para que ele, fascinado, resolva iniciar um trabalho voluntário. O oncologista famoso, habituado à mais sofisticada tecnologia médica, vai praticar medicina como os antigos: com estetoscópio, olhar sensível e muita conversa.
Seu trabalho dá resultado e o Médico logo ganha o respeito da coletividade. Com o respeito, vêm os segredos. As consultas vão além das doenças e desdobram-se em narrativas cheias de vitalidade. Em nosso filme, os encontros na enfermaria são uma janela para o mundo da malandragem.
Conhecemos o destino do estuprador Gilson, julgado e condenado pela Lei do Crime; a necessária ginga do bígamo Majestade entre mulheres e assaltos; o velho Chico, Mestre Zen cultivado na masmorra e prestes a ganhar a liberdade; o Diretor Pires, funcionário obrigado a pisar em ovos para administrar a cadeia; a conversão do matador Peixeira; ascensão e queda do surfista Ezequiel; o filósofo existencialista Sem Chance e seu romance com a divina Lady Di. A narrativa do filme arma-se como em um quebra-cabeça: uma história se encaixa na outra para formar um painel dessa trágica realidade brasileira.
Com o Médico, o espectador deste filme dirigido por Luis Padilha acompanha os movimentos dessa gente. Acompanha também quando um movimento maior vem e a destrói. Como naquele 2 de outubro de 1992, um dos dias mais negros da história do Carandiru e, quem sabe, do Brasil, quando a Polícia Militar do Estado de São Paulo, a pretexto de manter a lei e a ordem, fuzilou 111 pessoas. Foi o ponto final de algumas de nossas histórias. Mas não de todas. Para o bem e para o mal, os malandros do Brasil teimam em sobreviver.
(Fonte: http://www.webcine.com.br/filmessi/estacara.htm)
Qual dos termos ou expressões sublinhados abaixo NÃO designa o elemento indicado logo a seguir, em itálico?
Provas
Elas são para sempre
Um artigo publicado na revista científica Nature traz a mais fascinante explicação para um dos maiores tormentos das pessoas – a dificuldade de emagrecer e de manter o novo peso. Pesquisadores do Instituto Karolinska, em Estocolmo, na Suécia, revelaram que o número de células adiposas (adipócitos) é definido até os 20 anos. Depois dessa idade nada é capaz de diminuir essa quantidade – nem a mais espartana das dietas. Quando uma pessoa emagrece, os adipócitos apenas perdem o volume, mas continuam lá. Não é só isso. Todos os anos, 10% das células adiposas são renovadas. E as novas têm uma incrível propensão para aumentar de tamanho. Eis aí uma explicação de por que, depois de um período de privações à mesa, é fácil recuperar os quilos perdidos.
(Veja, 14 maio 2008.)
Segundo o texto, são corretas as alternativas abaixo, EXCETO:
Provas
Estação Carandiru, o filme
A história começa quando o médico Drauzio Varella resolve fazer um trabalho de prevenção à AIDS no maior presídio da América Latina: a Casa de Detenção de São Paulo. Ali, toma contato com o que, aqui fora, temos até medo de imaginar: violência, superlotação, instalações precárias, falta de assistência médica e jurídica, falta de tudo. O Carandiru, com seus mais de sete mil detentos, merece sua fama de “inferno na terra”. Porém, nosso personagem logo percebe que, mesmo vivendo numa situação limite, os internos não representam figuras demoníacas. Ao contrário, ele testemunha solidariedade, organização e, acima de tudo, uma grande disposição de viver. Não é pouco, e é o suficiente para que ele, fascinado, resolva iniciar um trabalho voluntário. O oncologista famoso, habituado à mais sofisticada tecnologia médica, vai praticar medicina como os antigos: com estetoscópio, olhar sensível e muita conversa.
Seu trabalho dá resultado e o Médico logo ganha o respeito da coletividade. Com o respeito, vêm os segredos. As consultas vão além das doenças e desdobram-se em narrativas cheias de vitalidade. Em nosso filme, os encontros na enfermaria são uma janela para o mundo da malandragem.
Conhecemos o destino do estuprador Gilson, julgado e condenado pela Lei do Crime; a necessária ginga do bígamo Majestade entre mulheres e assaltos; o velho Chico, Mestre Zen cultivado na masmorra e prestes a ganhar a liberdade; o Diretor Pires, funcionário obrigado a pisar em ovos para administrar a cadeia; a conversão do matador Peixeira; ascensão e queda do surfista Ezequiel; o filósofo existencialista Sem Chance e seu romance com a divina Lady Di. A narrativa do filme arma-se como em um quebra-cabeça: uma história se encaixa na outra para formar um painel dessa trágica realidade brasileira.
Com o Médico, o espectador deste filme dirigido por Luis Padilha acompanha os movimentos dessa gente. Acompanha também quando um movimento maior vem e a destrói. Como naquele 2 de outubro de 1992, um dos dias mais negros da história do Carandiru e, quem sabe, do Brasil, quando a Polícia Militar do Estado de São Paulo, a pretexto de manter a lei e a ordem, fuzilou 111 pessoas. Foi o ponto final de algumas de nossas histórias. Mas não de todas. Para o bem e para o mal, os malandros do Brasil teimam em sobreviver.
(Fonte: http://www.webcine.com.br/filmessi/estacara.htm)
Qual das expressões sublinhadas abaixo NÃO recorre ao uso metafórico das palavras?
Provas
Elas são para sempre
Um artigo publicado na revista científica Nature traz a mais fascinante explicação para um dos maiores tormentos das pessoas – a dificuldade de emagrecer e de manter o novo peso. Pesquisadores do Instituto Karolinska, em Estocolmo, na Suécia, revelaram que o número de células adiposas (adipócitos) é definido até os 20 anos. Depois dessa idade nada é capaz de diminuir essa quantidade – nem a mais espartana das dietas. Quando uma pessoa emagrece, os adipócitos apenas perdem o volume, mas continuam lá. Não é só isso. Todos os anos, 10% das células adiposas são renovadas. E as novas têm uma incrível propensão para aumentar de tamanho. Eis aí uma explicação de por que, depois de um período de privações à mesa, é fácil recuperar os quilos perdidos.
(Veja, 14 maio 2008.)
Das palavras abaixo apenas uma não segue a mesma regra de acentuação. Qual é?
Provas
Nos termos do contido no Estatuto da Polícia Civil do Estado do Piauí, considere as assertivas abaixo:
I - O Conselho Superior de Polícia Civil, com atribuições consultivas, opinativas e de assessoramento, tem competência para recomendar à Corregedoria Geral da Polícia Civil a instauração de processo disciplinar contra membros da Polícia Civil.
II - A Corregedoria Geral da Polícia Civil, órgão de controle interno da atividade policial, diretamente subordinada ao secretario de Segurança Pública, possui a atribuição de propor ao Delegado Geral a instauração ou arquivamento de processos administrativos disciplinares.
III - A Polícia Civil tem por Chefe o Delegado-Geral, subordinado ao Secretario da Segurança Pública, nomeado em comissão, pelo Governador do Estado, dentre os delegados de carreira.
IV - A polícia judiciária é composta pelos cargos de delegado de polícia, escrivão de polícia, agente de polícia e perito criminal.
V - A direção da polícia judiciária compete ao Conselho Superior de Polícia Civil.
São verdadeiras as afirmativas:
Provas
Analise as informações da tabela:
| Neurotransmissor | receptores | Agonistas | Antagonistas |
| A | a1, a2, β1, β2, β3 | Clonidina e Salbutamol | Prazosina e Propranolol |
| B | Nicotínicos e muscarínicos (M1-M5) | Betanecol e Carbacol | Atropina e escopolamina |
A tabela acima associa dois neurotransmissores aos seus respectivos receptores, agonistas e antagonistas dos seus receptores. De acordo com as informações da tabela, podemos afirmar que os neurotransmissores A e B correspondem a:
Provas
O Pólo Norte
Nada como um crime 100% monstruoso, desses que elevam para um novo patamar os piores padrões que se podem atingir em matéria de crueldade e selvageria, para descobrir quanta gente fica comovida, no Brasil de hoje, com a sorte dos acusados – e horrorizada com a hipótese de que possa ocorrer alguma falha, por mais duvidosa que seja, na proteção a seus direitos. É o que se está vendo no momento, mais uma vez, com o assassinato da menina Isabella Nardoni, em São Paulo. Para muitos dos mais renomados sábios da nossa ciência jurídica, sobretudo os que se dedicam à advocacia criminal, intelectuais de todas as variedades e até o presidente da República, o foco deixou de estar no crime que foi cometido. O que realmente os preocupa é a “condenação antecipada” dos suspeitos, algo que, a seu ver, estaria ocorrendo no caso. O presidente Luiz Inácio Lula da Silva, especialmente, se mostra angustiado com a possibilidade de que inocentes tenham suas vidas “destruídas”. A única vida realmente destruída, até agora, foi a de Isabella, mas isso parece ser apenas um detalhe menor na história. O verdadeiro problema, nesse modo de ver as coisas, estaria no que os campeões do direito de defesa imaginam ser a condenação “sem julgamento” ou “sem provas” dos acusados – fruto do desejo de “vingança” e de “linchamento” que a exposição intensa do caso na imprensa faz nascer junto a uma população boçal e incapaz de entender os fundamentos do direito penal.
(...)
A verdadeira dificuldade para o casal Nardoni não está na violação de seus direitos. Está, isso sim, no fato de que não surgiu até agora, após quarenta dias de investigação, feita com todos os recursos da polícia e sob o intenso holofote da imprensa, o mais remoto indício de que o crime possa ter sido praticado por alguma outra pessoa. A verdadeira revolta popular, ao mesmo tempo, é contra a impunidade; o temor é que o pai e a madrasta de Isabella, caso culpados, fiquem livres. Trata-se de uma expectativa mais do que justificada pelos fatos. Se homicidas confessos, condenados em júri popular, estão soltos, por que não seria assim outra vez? Por que não, se está solto o médico que esquartejou uma mulher submetida a anestesia e alegou ter agido em legítima defesa? São questões que não entram no debate. Os defensores do casal, quando de boa-fé, argumentam que nada é mais importante do que colocar a lei acima da paixão. Mas pregar de maneira automática e em qualquer circunstância, sejam lá quais forem os fatos, a favor dos direitos dos acusados não contribui para a genuína proteção dos direitos do cidadão; contribui, na prática, para dar conforto aos criminosos.
O problema da Justiça brasileira, hoje, não é a escassez de direitos de defesa; o real problema é o excesso de obstáculos para a punição e o excesso de proteção para os acusados. O Brasil é possivelmente um caso único, em todo o mundo, onde se recomenda, diante do aumento da criminalidade, a redução das penas e o aumento dos benefícios para os criminosos. É algo que talvez faça sentido em lugares como o Pólo Norte, por exemplo, onde não há crime algum; no Brasil atual é simplesmente incompreensível. Não passa pela cabeça dos patronos dessas idéias a existência de alguma relação entre o agravamento da criminalidade e a ausência de punição efetiva para os culpados. Parecem, ao contrário, convencidos de que a saída é punir ainda menos. É muito bom, sem dúvida, para o interesse profissional dos advogados criminalistas e para o bem-estar de seus clientes. Para todos os demais é uma tragédia.
(GUZZO, J. R. Veja, 14 maio 2008.)
Em qual das alternativas abaixo está correta a concordância verbal?
Provas
O Pólo Norte
Nada como um crime 100% monstruoso, desses que elevam para um novo patamar os piores padrões que se podem atingir em matéria de crueldade e selvageria, para descobrir quanta gente fica comovida, no Brasil de hoje, com a sorte dos acusados – e horrorizada com a hipótese de que possa ocorrer alguma falha, por mais duvidosa que seja, na proteção a seus direitos. É o que se está vendo no momento, mais uma vez, com o assassinato da menina Isabella Nardoni, em São Paulo. Para muitos dos mais renomados sábios da nossa ciência jurídica, sobretudo os que se dedicam à advocacia criminal, intelectuais de todas as variedades e até o presidente da República, o foco deixou de estar no crime que foi cometido. O que realmente os preocupa é a “condenação antecipada” dos suspeitos, algo que, a seu ver, estaria ocorrendo no caso. O presidente Luiz Inácio Lula da Silva, especialmente, se mostra angustiado com a possibilidade de que inocentes tenham suas vidas “destruídas”. A única vida realmente destruída, até agora, foi a de Isabella, mas isso parece ser apenas um detalhe menor na história. O verdadeiro problema, nesse modo de ver as coisas, estaria no que os campeões do direito de defesa imaginam ser a condenação “sem julgamento” ou “sem provas” dos acusados – fruto do desejo de “vingança” e de “linchamento” que a exposição intensa do caso na imprensa faz nascer junto a uma população boçal e incapaz de entender os fundamentos do direito penal.
(...)
A verdadeira dificuldade para o casal Nardoni não está na violação de seus direitos. Está, isso sim, no fato de que não surgiu até agora, após quarenta dias de investigação, feita com todos os recursos da polícia e sob o intenso holofote da imprensa, o mais remoto indício de que o crime possa ter sido praticado por alguma outra pessoa. A verdadeira revolta popular, ao mesmo tempo, é contra a impunidade; o temor é que o pai e a madrasta de Isabella, caso culpados, fiquem livres. Trata-se de uma expectativa mais do que justificada pelos fatos. Se homicidas confessos, condenados em júri popular, estão soltos, por que não seria assim outra vez? Por que não, se está solto o médico que esquartejou uma mulher submetida a anestesia e alegou ter agido em legítima defesa? São questões que não entram no debate. Os defensores do casal, quando de boa-fé, argumentam que nada é mais importante do que colocar a lei acima da paixão. Mas pregar de maneira automática e em qualquer circunstância, sejam lá quais forem os fatos, a favor dos direitos dos acusados não contribui para a genuína proteção dos direitos do cidadão; contribui, na prática, para dar conforto aos criminosos.
O problema da Justiça brasileira, hoje, não é a escassez de direitos de defesa; o real problema é o excesso de obstáculos para a punição e o excesso de proteção para os acusados. O Brasil é possivelmente um caso único, em todo o mundo, onde se recomenda, diante do aumento da criminalidade, a redução das penas e o aumento dos benefícios para os criminosos. É algo que talvez faça sentido em lugares como o Pólo Norte, por exemplo, onde não há crime algum; no Brasil atual é simplesmente incompreensível. Não passa pela cabeça dos patronos dessas idéias a existência de alguma relação entre o agravamento da criminalidade e a ausência de punição efetiva para os culpados. Parecem, ao contrário, convencidos de que a saída é punir ainda menos. É muito bom, sem dúvida, para o interesse profissional dos advogados criminalistas e para o bem-estar de seus clientes. Para todos os demais é uma tragédia.
(GUZZO, J. R. Veja, 14 maio 2008.)
Segundo o texto, é INCORRETO afirmar:
Provas
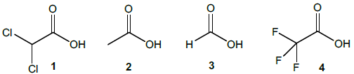
Grande parte dos compostos orgânicos são formados por ligações covalentes e podem sofrer ionização quando colocados em água. O ácido acético, que confere ao vinagre o sabor azedo, sofre ionização ao ser adicionado à água, liberando íons H+ na solução aquosa, deixando-a ácida. A quantidade de H+ liberada, determina a acidez da substância através do valor da constante de ionização do ácido, Ka. Os ácidos mostrados a seguir possuem valores aproximados de pKa de 4,76, 3,77, 1,29 e –0,25.

Assinale a alternativa que relaciona corretamente os valores de pKa com os ácidos 1, 2, 3 e 4, respectivamente:
Provas
A seguir estão representadas estruturas de quatro substâncias:

São enantiômeros e diastereoisômeros, respectivamente, os pares:
Provas
Caderno Container