Foram encontradas 80 questões.
Considere a existência das tabelas CLIENTE e DEPENDENTE. Identifique qual alternativa que possui o comando do SQL que retorna o nome do cliente e o nome do dependente, na condição de que, para cada cliente, hajam 0, 1 ou muitos dependentes:
Provas
Estação Carandiru, o filme
A história começa quando o médico Drauzio Varella resolve fazer um trabalho de prevenção à AIDS no maior presídio da América Latina: a Casa de Detenção de São Paulo. Ali, toma contato com o que, aqui fora, temos até medo de imaginar: violência, superlotação, instalações precárias, falta de assistência médica e jurídica, falta de tudo. O Carandiru, com seus mais de sete mil detentos, merece sua fama de “inferno na terra”. Porém, nosso personagem logo percebe que, mesmo vivendo numa situação limite, os internos não representam figuras demoníacas. Ao contrário, ele testemunha solidariedade, organização e, acima de tudo, uma grande disposição de viver. Não é pouco, e é o suficiente para que ele, fascinado, resolva iniciar um trabalho voluntário. O oncologista famoso, habituado à mais sofisticada tecnologia médica, vai praticar medicina como os antigos: com estetoscópio, olhar sensível e muita conversa.
Seu trabalho dá resultado e o Médico logo ganha o respeito da coletividade. Com o respeito, vêm os segredos. As consultas vão além das doenças e desdobram-se em narrativas cheias de vitalidade. Em nosso filme, os encontros na enfermaria são uma janela para o mundo da malandragem.
Conhecemos o destino do estuprador Gilson, julgado e condenado pela Lei do Crime; a necessária ginga do bígamo Majestade entre mulheres e assaltos; o velho Chico, Mestre Zen cultivado na masmorra e prestes a ganhar a liberdade; o Diretor Pires, funcionário obrigado a pisar em ovos para administrar a cadeia; a conversão do matador Peixeira; ascensão e queda do surfista Ezequiel; o filósofo existencialista Sem Chance e seu romance com a divina Lady Di. A narrativa do filme arma-se como em um quebra-cabeça: uma história se encaixa na outra para formar um painel dessa trágica realidade brasileira.
Com o Médico, o espectador deste filme dirigido por Luis Padilha acompanha os movimentos dessa gente. Acompanha também quando um movimento maior vem e a destrói. Como naquele 2 de outubro de 1992, um dos dias mais negros da história do Carandiru e, quem sabe, do Brasil, quando a Polícia Militar do Estado de São Paulo, a pretexto de manter a lei e a ordem, fuzilou 111 pessoas. Foi o ponto final de algumas de nossas histórias. Mas não de todas. Para o bem e para o mal, os malandros do Brasil teimam em sobreviver.
(Fonte: http://www.webcine.com.br/filmessi/estacara.htm)
Observe o seguinte período extraído do texto.
Conhecemos o destino do estuprador Gilson, julgado e condenado pela Lei do Crime.
O processo de formação de palavras que dá origem aos termos em negrito é:
Provas
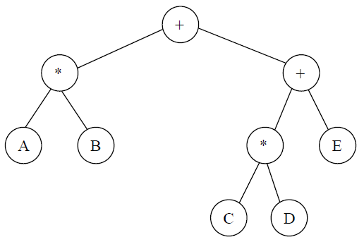
Observe o diagrama de uma árvore binária de uma expressão matemática:

Identifique a alternativa que apresenta o percurso da estrutura de dados:
Provas
O Pólo Norte
Nada como um crime 100% monstruoso, desses que elevam para um novo patamar os piores padrões que se podem atingir em matéria de crueldade e selvageria, para descobrir quanta gente fica comovida, no Brasil de hoje, com a sorte dos acusados – e horrorizada com a hipótese de que possa ocorrer alguma falha, por mais duvidosa que seja, na proteção a seus direitos. É o que se está vendo no momento, mais uma vez, com o assassinato da menina Isabella Nardoni, em São Paulo. Para muitos dos mais renomados sábios da nossa ciência jurídica, sobretudo os que se dedicam à advocacia criminal, intelectuais de todas as variedades e até o presidente da República, o foco deixou de estar no crime que foi cometido. O que realmente os preocupa é a “condenação antecipada” dos suspeitos, algo que, a seu ver, estaria ocorrendo no caso. O presidente Luiz Inácio Lula da Silva, especialmente, se mostra angustiado com a possibilidade de que inocentes tenham suas vidas “destruídas”. A única vida realmente destruída, até agora, foi a de Isabella, mas isso parece ser apenas um detalhe menor na história. O verdadeiro problema, nesse modo de ver as coisas, estaria no que os campeões do direito de defesa imaginam ser a condenação “sem julgamento” ou “sem provas” dos acusados – fruto do desejo de “vingança” e de “linchamento” que a exposição intensa do caso na imprensa faz nascer junto a uma população boçal e incapaz de entender os fundamentos do direito penal.
(...)
A verdadeira dificuldade para o casal Nardoni não está na violação de seus direitos. Está, isso sim, no fato de que não surgiu até agora, após quarenta dias de investigação, feita com todos os recursos da polícia e sob o intenso holofote da imprensa, o mais remoto indício de que o crime possa ter sido praticado por alguma outra pessoa. A verdadeira revolta popular, ao mesmo tempo, é contra a impunidade; o temor é que o pai e a madrasta de Isabella, caso culpados, fiquem livres. Trata-se de uma expectativa mais do que justificada pelos fatos. Se homicidas confessos, condenados em júri popular, estão soltos, por que não seria assim outra vez? Por que não, se está solto o médico que esquartejou uma mulher submetida a anestesia e alegou ter agido em legítima defesa? São questões que não entram no debate. Os defensores do casal, quando de boa-fé, argumentam que nada é mais importante do que colocar a lei acima da paixão. Mas pregar de maneira automática e em qualquer circunstância, sejam lá quais forem os fatos, a favor dos direitos dos acusados não contribui para a genuína proteção dos direitos do cidadão; contribui, na prática, para dar conforto aos criminosos.
O problema da Justiça brasileira, hoje, não é a escassez de direitos de defesa; o real problema é o excesso de obstáculos para a punição e o excesso de proteção para os acusados. O Brasil é possivelmente um caso único, em todo o mundo, onde se recomenda, diante do aumento da criminalidade, a redução das penas e o aumento dos benefícios para os criminosos. É algo que talvez faça sentido em lugares como o Pólo Norte, por exemplo, onde não há crime algum; no Brasil atual é simplesmente incompreensível. Não passa pela cabeça dos patronos dessas idéias a existência de alguma relação entre o agravamento da criminalidade e a ausência de punição efetiva para os culpados. Parecem, ao contrário, convencidos de que a saída é punir ainda menos. É muito bom, sem dúvida, para o interesse profissional dos advogados criminalistas e para o bem-estar de seus clientes. Para todos os demais é uma tragédia.
(GUZZO, J. R. Veja, 14 maio 2008.)
Assinale a alternativa que mais se aproxima do argumento central do texto:
Provas
No contexto do desenvolvimento de aplicativos comerciais, a Engenharia Reversa é o processo inverso da Engenharia de Software Progressiva, caracterizado pelas atividades retroativas do ciclo de vida de sistemas e que partem de um baixo nível para um alto nível de abstração. Identifique qual programa não produz, explicitamente, artefatos utilizados nos processos de engenharia reversa, correspondentes à fase de desenvolvimento de sistemas:
Provas
A Coca Light não pára de emagrecer
A Coca-Cola Light continua seu processo de emagrecimento. Em abril, chegou a seu ponto mais baixo de participação no mercado desde que foi lançada, há onze anos: 1,2%, ante o 1,3% de março. A culpada por essa perda é a Coca-Cola Zero, que passou de 4% para 4,1% entre março e abril. Desde que a Coca Zero foi lançada, catorze meses atrás, a Coca Light perde consumidores para a irmã mais nova. Há um ano, a Light era dona de 3,5% do mercado.
(Veja, 21 maio 2008, p. 47.)
Que quer dizer o título “Coca-Cola Light não pára de emagrecer”?
Provas
Sobre visibilidade de um Diagrama de Classes, utilizando-se a UML 2.0, relacione a coluna da direita com a da esquerda:
( 1 ) + ou public (público)
( 2 ) # ou protecded (protegido)
( 3 ) – ou private (privado)
( 4 ) ~ ou package (pacote)
( ) A propriedade poderá ser vista e usada por elementos que estejam declarados dentro do mesmo pacote, no qual está inserida a classe que a declarou.
( ) A propriedade será vista e usada apenas dentro da classe na qual foi declarada.
( ) A propriedade será vista e usada apenas dentro da classe na qual foi declarada e pelas classes descendentes.
( ) A propriedade será vista e usada dentro da classe na qual foi declarada, em qualquer elemento externo (incluindo objetos instanciados a partir desta classe) e nas classes descendentes.
A alternativa que apresenta a seqüência correta da coluna da direita, de cima para baixo, é a:
Provas
- Modelo OSIModelo OSI: Camada Física
- Modelo OSIModelo OSI: Camada de Enlace
- Modelo OSIModelo OSI: Camada de Rede
- Modelo OSIModelo OSI: Camada de Transporte
Relacione os equipamentos com suas respectivas camadas de atuação no modelo OSI/ISO:
( 1 ) física ( ) repetidor
( 2 ) enlace ( ) bridge
( 3 ) rede ( ) roteador
( 4 ) transporte ( ) switch L4
( ) hub
( ) placa de rede
A alternativa que apresenta a seqüência correta da coluna da direita, de cima para baixo, é a:
Provas
- Paradigmas de ProgramaçãoOrientação a ObjetosAnálise e Projeto Orientado a Objetos
- Paradigmas de ProgramaçãoOrientação a ObjetosOrientação a Objetos: Classes e Objetos
- Paradigmas de ProgramaçãoOrientação a ObjetosOrientação a Objetos: Herança
- Paradigmas de ProgramaçãoOrientação a ObjetosOrientação a Objetos: Polimorfismo
A grande vantagem que obtemos com a orientação a objetos, é o fato de podermos abstrair, de uma maneira mais fidedigna, as situações do dia-a-dia. Sobre conceitos de orientação a objetos, assinale a alternativa correta:
Provas
Sobre protocolo TCP/IP, considere as afirmativas abaixo:
I - São endereços reservados para redes não conectadas, 10.0.0.0 para classe A, 172.16.0.0 a 172.31.0.0 para classe B, 192.168.1.0.0 a 192.168.255.0 para classe C.
II - 10.0.1.0 é um endereço de rede para classe A.
III - 172.17.0.1 é um endereço de máquina para redes classe B.
IV - 192.168.3.255 é um endereço de transmissão para redes classe C.
São verdadeiras as afirmativas:
Provas
Caderno Container