Foram encontradas 489 questões.
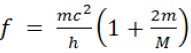
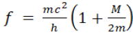
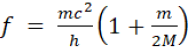
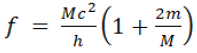
Um átomo, em seu estado fundamental tem massa M. Ao ser levado ao seu primeiro estado excitado passa
a ter uma massa M + m. A frequência do fóton emitido, quando este átomo retorna ao estado fundamental
é:
Provas
Questão presente nas seguintes provas
Uma tábua uniforme de 3m de comprimento é usada como gangorra por duas crianças com massas 20 kg e 45 kg. Elas sentam sobre as extremidades da tábua de modo que o sistema fica em equilíbrio sobre um apoio localizado a uma distância de 1m da criança mais pesada. Qual o peso da tábua?

Provas
Questão presente nas seguintes provas
Considere que um objeto viajando a uma velocidade constante de 0,8c (em que c = 3 x 108 m/s) se
encontra a 6 x 108 km da Terra. Neste exato momento, um sinal eletromagnético é enviado da Terra ao
objeto. Usando a teoria da relatividade restrita, o tempo necessário para este sinal chegar ao objeto será de:
Provas
Questão presente nas seguintes provas
Um pequeno aquecedor elétrico de imersão de 200 watts de potência foi usado para aquecer 240g de água
durante 4 minutos. A variação da temperatura dessa quantidade de água, neste intervalo de tempo foi de:
(Dados: Calor específico da água igual a 1 cal/g°C, 1 cal = 4 J).
Provas
Questão presente nas seguintes provas
A corda de um instrumento musical tem comprimento de 50 cm e está presa por suas extremidades. Sua
frequência fundamental é de 200 Hz. A velocidade transversal da onda no estado fundamental e as
frequências dos dois modos de vibração subsequentes são respectivamente:
Provas
Questão presente nas seguintes provas
Um tanque contém gás a uma temperatura de 27 ºC, cujo peso unitário é de 400 N/m3. O manômetro do
tanque indica uma pressão de 24 bar (1 bar = 105
Pa). Considerando que esse gás se comporta como um
gás ideal, o valor para a constante R desse gás é:
Provas
Questão presente nas seguintes provas
Quando a luz incide sobre a superfície de um metal com uma frequência suficientemente alta, ela pode
retirar elétrons do mesmo. Assinale a alternativa que corresponde ao nome correto desse efeito.
Provas
Questão presente nas seguintes provas
O estado de uma partícula pode ser descrito por: Ψ (x) =
. A posição mais provável
para se encontrar a partícula é:
Provas
Questão presente nas seguintes provas
- EletromagnetismoElétricaCircuitos Elétricos Especiais: Leis de Kirchhoff e Ponte de Wheatstone
- EletromagnetismoElétricaEletricidade
Considere um circuito formado por duas baterias E1 e E2 de 3 V cada, e dois resistores R1 e R2 de 6 Ω
cada, ligados conforme a figura abaixo. As correntes que passam pelos resistores R1 e R2 são
respectivamente:


Provas
Questão presente nas seguintes provas
Acerca das afirmações A1, A2 e A3 abaixo é CORRETO afirmar:
A1- Considere que um cilindro de cobre de massa M, à temperatura de 80 ºC, é completamente mergulhado em água, a 20 ºC, contida num recipiente isolante de calor. Considere que a massa de água é igual à massa do cilindro de cobre. Sabendo que o calor específico da água é cerca de 10 vezes maior que o do cobre, a temperatura de equilíbrio da água será de 50 ºC. A2- A quantidade de calor necessária para elevar a temperatura de um gás ideal em 1 ºC é menor sob pressão constante do que sob volume constante. A3- A pressão de um gás ideal em um container de volume constante é proporcional à energia cinética média das moléculas do gás.
A1- Considere que um cilindro de cobre de massa M, à temperatura de 80 ºC, é completamente mergulhado em água, a 20 ºC, contida num recipiente isolante de calor. Considere que a massa de água é igual à massa do cilindro de cobre. Sabendo que o calor específico da água é cerca de 10 vezes maior que o do cobre, a temperatura de equilíbrio da água será de 50 ºC. A2- A quantidade de calor necessária para elevar a temperatura de um gás ideal em 1 ºC é menor sob pressão constante do que sob volume constante. A3- A pressão de um gás ideal em um container de volume constante é proporcional à energia cinética média das moléculas do gás.
Provas
Questão presente nas seguintes provas
Cadernos
Caderno Container