Foram encontradas 1.485 questões.
Considere o equilíbrio químico abaixo, cujo valor de Kc a 700 °C é de 4,8 . 10-3.
2 SO3 (g) !$ \leftrightarrows !$ 2 SO2 (g) + O2 (g)
Em um recipiente fechado, a essa mesma temperatura, foram determinadas as concentrações das espécies acima, tendo sido encontrados os valores: [SO3] = 0,5 mol/L; [SO2] = 0,1 mol/L e [O2] = 0,025 mol/L.
Para essas condições, foram feitas as seguintes afirmativas:
I - essa reação apresenta Kp = Kc;
II - a concentração de SO3, no equilíbrio, é menor que 0,5 mol/L;
III - a velocidade de formação de SO2 é igual à velocidade de formação de O2.
Está(ão) correta(s) apenas a(s) afirmativa(s):
Provas
Os fabricantes de veículos recomendam o uso de misturas contendo etilenoglicol (HOCH2CH2OH) e outros aditivos como líquido de arrefecimento, pois essas misturas congelam a temperaturas inferiores a 0 °C, à pressão de 1 atm. Considerando um comportamento de solução ideal, é correto afirmar que, para uma solução aquosa contendo 1% em massa de etilenoglicol, o abaixamento da temperatura de congelamento da água (!$ \Delta !$Tc ) será, aproximadamente, igual a(ao):
(Dados: ke da água = 0,52 °C kg mol-1; kc da água = 1,86 °C kg mol-1; massa molar do etilenoglicol = 62 g/mol; massa molar da água = 18 g/mol)
Provas
Para proteger navios, encanamentos ou tanques subterrâneos de armazenamento de combustível, é comum a utilização da proteção catódica. Qual, dentre as reações abaixo, representa uma proteção catódica viável para uma tubulação de ferro enterrada no solo?
Dados de E0redução: Zn+2/Zn = −0,76V
Sn+2/Sn = −0,14V
Na+1/Na = −2,71V
Cu+2/Cu = +0,34V
I2/2I-1 = +0,54V
Fe+2/Fe = −0,44V
Provas
Considere as composições volumétricas de Gás Natural (GN) e de ar, medidas a 0 °C e 1 atm, listadas abaixo.

Admitindo-se um comportamento de gás ideal para as espécies envolvidas, o volume de ar, a 0 °C e 1 atm, necessário para a combustão completa de 1 m3 desse Gás Natural, em m3, é de:
Provas
A zeólita sintética ZSM-5 (Na3[(AlO2)3(SiO2)].x H2O) é amplamente usada pela indústria de petróleo para uma variedade de interconversões de hidrocarbonetos, como isomerização de m-xileno em p-xileno ou alquilação de aromáticos com alquenos. Sobre a estrutura e a ação da zeólita ZSM-5, é correto afirmar que:
Provas
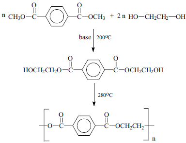
O poli(tereftalato de etileno) - PET - pode ser obtido pela reação do tereftalato de dimetila com etilenoglicol, como mostrado abaixo.

A respeito desse processo foram feitas as seguintes afirmativas:
I - é baseado em reações de transesterificação e o PET obtido também pode ser despolimerizado via transesterificação;
II - a reação de polimerização se dá por crescimento em etapas, o que permite controlar o comprimento que se deseja para a cadeia;
III - as reações de condensação se dão com eliminação de metanol e água.
Está(ão) correta(s) apenas a(s) afirmativa(s):
Provas
Para a profilaxia do tétano acidental, em um indivíduo vacinado há mais de 10 anos, que teve um pequeno ferimento lacerado, não contaminado, provocado por queda no trabalho, deve-se prescrever:
Provas
Disciplina: Segurança e Saúde no Trabalho (SST)
Banca: CESGRANRIO
Orgão: Petrobrás
Um médico é questionado pelo chefe de um paciente sobre a situação de saúde desse trabalhador. Qual a atitude que este médico deve tomar frente ao questionamento?
Provas
Disciplina: Segurança e Saúde no Trabalho (SST)
Banca: CESGRANRIO
Orgão: Petrobrás
Qual o objetivo da Norma Reguladora – Programa de Controle Médico de Saúde Ocupacional – PCMSO?
Provas
Disciplina: Segurança e Saúde no Trabalho (SST)
Banca: CESGRANRIO
Orgão: Petrobrás
O objeto da Convenção 174 da Organização Internacional do Trabalho (OIT) trata de:
Provas
Caderno Container