Foram encontradas 100 questões.
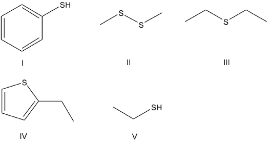
O petróleo é composto, de forma majoritária, por hidrocarbonetos. Porém, nele são encontradas pequenas quantidades (menor que 8 % em massa de compostos que contêm enxofre)

A respeito dos compostos I, II, III, IV e V acima representados, tem-se que
Provas
Questão presente nas seguintes provas
Uma das rotas para a obtenção de detergentes biodegradáveis está representada no esquema abaixo.

A respeito dessa síntese, constata-se que
Provas
Questão presente nas seguintes provas
Uma pilha foi montada (conforme esquema abaixo) empregando um eletrodo de gás hidrogênio – pressão parcial de H2(g) = 1,0 bar –, tendo como eletrólito uma solução de ácido clorídrico 0,010 mol L-1, e outro eletrodo composto por uma bastão de prata mergulhado em solução de nitrato de prata 0,10 mol L-1.

Sendo dados os potenciais padrão de redução
!$ ε^0[Ag^+/Ag(s)]+0,80V !$ e !$ ε^0[H^+/H_2(g)]=0,0V !$ e, considerando- se uma temperatura de 25 ºC, a força eletromotriz registrada no voltímetro no início do processo será de
Provas
Questão presente nas seguintes provas
Uma solução de ácido fórmico foi preparada a 25 ºC. Após atingir o equilíbrio, a solução apresentou pH igual a 2. Sabendo-se que a constante de ionização (Ka) para o ácido fórmico é igual a 2.10-4, a concentração inicial da solução de ácido fórmico é igual a
Provas
Questão presente nas seguintes provas
A pérola de vidro ou de impacto é uma das partes que compõem o dispositivo de nebulização e queima por mistura prévia, usado em espectroscopia de absorção atômica. A função de pérola de vidro ou de impacto é de
Provas
Questão presente nas seguintes provas
Certo volume de uma solução aquosa de um sal desconhecido foi aquecido em uma caçarola até que toda a água evaporasse. Após resfriamento, acrescentou-se solução aquosa de ácido clorídrico 0,5 mol/L ao resíduo sólido até que o volume da nova solução fosse igual ao volume inicial. Observou-se a formação de precipitado, sendo este separado através de uma filtração. A formação de precipitado nesse ensaio é indício da presença de ao menos um dos cátions:
Provas
Questão presente nas seguintes provas
O mercúrio é o único metal que se apresenta no estado líquido à temperatura ambiente. Por conta dessa característica, foi considerado por alquimistas como um elemento chave na transmutação de metais, como o chumbo em ouro. O mercúrio era obtido através do aquecimento direto do cinábrio (sulfeto mercúrico) na presença de ar. Além do metal, o dióxido de enxofre também se forma durante a reação. Uma amostra de 60,00 g do minério cinábrio foi submetida ao processo descrito acima, obtendo-se 2,965 mL de mercúrio ao final do processo. Se a massa específica do mercúrio é 13,53 g/cm3, a massa de impurezas presentes no cinábrio utilizado na experiência, em g, é de
Provas
Questão presente nas seguintes provas
Analise as afirmativas abaixo.
I – O 3-metilbutan-2-ol e o pentan-2-ol são isômeros de posição.
II – O álcool benzílico e o 1-hidroxi-2-metilbenzeno são isômeros de função.
III – Os trans-but-2-eno e o cis-but-2-eno são isômeros de cadeia.
IV – O butanal é um tautômero do but-1-en-2-ol.
Está correto APENAS o que se afirma em
Provas
Questão presente nas seguintes provas
Alíquotas de 25,00 mL de cinco soluções distintas (I a V - tabela abaixo) contendo NaOH, Na2CO3 e NaHCO3, isoladamente ou em combinação compatível, foram tituladas com HCl 0,1000 mol L-1 usando a fenolftaleína como indicador. Outras alíquotas de 25,00 mL das mesmas soluções foram tituladas usando dessa vez o verde de bromocresol como indicador. Os resultados das titulações estão expressas na tabela abaixo.
| SOLUÇÃO | V (mL) de HCl 0,1000 mol L-1 | |
| fenolftaleína | verde de bromocresol | |
| I | 20,0 | 20,0 |
| II | 10,0 | 40,0 |
| III | 0 | 20,0 |
| IV | 10,0 | 20,0 |
| V | 30,0 | 40,0 |
Sabendo que o intervalo de pH de mudança de cor da fenolftaleína é 8,2 - 10,0 e do verde de bromocresol é 3,8 - 5,4, a solução que apresenta corretamente as massas, em mg, dessas espécies em 25,00 mL, de acordo com os dados das titulações, é
Provas
Questão presente nas seguintes provas
Um técnico preparou uma rotina para realizar medições de pH, utilizando um eletrodo de vidro combinado, um pHmetro e uma série de soluções tampão disponíveis no seu almoxarifado. Para avaliar a eficiência do método, ele fez uma curva de calibração a partir da leitura da diferença de potencial dos tampões frente ao eletrodo. Os dados experimentais obtidos a 25 ºC, no modo de leitura mV, geraram a curva de calibração abaixo

A análise da curva de calibração mostra que
Provas
Questão presente nas seguintes provas
Cadernos
Caderno Container