Foram encontradas 2.648 questões.
Apesar de ser considerada por muitos desenvolvedores como uma atividade desagradável, a prática de testes contribui de forma decisiva para a qualidade de um sistema. Se for feita de forma correta e eficaz, ela permite maximizar a satisfação do usuário e minimizar os problemas de funcionamento do sistema. Qual das seguintes explicações representa um conceito correto sobre os testes de software?
Provas
Questão presente nas seguintes provas
Uma empresa foi contratada para desenvolver um projeto de um software controlador de válvulas de alívio de pressão em dutos de gás. Na fase de coletas de requisitos, foi definido que o conjunto hardware mais software deveria ter 99,999% de disponibilidade e que deveria ser testado contra uma série de 126 cenários distintos. O esquema de testes deveria contemplar o histórico das válvulas antigas, respondendo de forma adequada a todos os cenários históricos, conforme uma série de especificações que foram estabelecidas pelos especialistas em dutos. Ademais, ficou estabelecido também que o sistema deveria contemplar uma série de facilidades, tais como funcionamento cliente- servidor (com monitoração remota através de uma interface gráfica) e histórico mantido em banco de dados com duplicação e backups diários.
A empresa contratante, em comum acordo com a empresa contratada, estabeleceu um limite de dispêndios mensais que fez com que a empresa contratada estabelecesse uma data de entrega posterior ao inicialmente desejado pela empresa contratante.
Qual das seguintes descrições é uma conclusão correta em relação aos requisitos coletados na definição desse projeto?
Provas
Questão presente nas seguintes provas
A atividade de monitoração de um projeto permeia toda a fase de execução do mesmo. Ela inclui atividades de obtenção de informação sobre o desempenho e a realização de previsões sobre o desempenho futuro da equipe, com base no que foi realizado e no histórico de processos e equipes similares. O monitoramento contínuo permite que a equipe de gerenciamento de projetos tenha uma visão clara da saúde do projeto e da satisfação do cliente com os produtos e o andamento do projeto, identificando as áreas que exigem atenção especial. Entre as saídas da atividade de monitoração de um projeto, inclui-se a
Provas
Questão presente nas seguintes provas

Uma Estrutura Analítica de um Projeto (EAP) é uma importante ferramenta de detalhamento, cuja elaboração deve ser feita de forma criteriosa para auxiliar nos processos de gerência do projeto como um todo. Uma EAP deve seguir uma série de recomendações para que seja correta e eficaz no seu intuito de auxiliar o gerente. Com base nessas recomendações, qual é o erro presente na EAP mostrada na figura acima?
Provas
Questão presente nas seguintes provas

O conceito de folga total de uma tarefa é de suma importância, pois permite a revisão de um cronograma no caso de concretização de riscos ou de necessidade de realocação de recursos de um projeto. A figura acima mostra o cronograma de um projeto calculado de acordo com as dependências das tarefas, da disponibilidade dos recursos e da conveniência do gerente do projeto e de seu patrocinador. Quando o gerente do projeto determinou esse cronograma, as folgas totais das atividades T6, T8 e T10 eram, respectivamente,
Provas
Questão presente nas seguintes provas

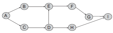
Um diagrama de rede é uma importante ferramenta de apoio para o processo de definição de cronograma de um projeto, ajudando, inclusive, a determinar aspectos fundamentais para o controle do projeto, tal como o caminho crítico do mesmo. Qual das seguintes afirmações reflete um entendimento correto obtido do diagrama de rede acima?
Provas
Questão presente nas seguintes provas
Uma equipe foi reunida para desenvolver um projeto. Para tanto, ela teve extensas reuniões com o patrocinador (sponsor) do projeto e definiu, de forma detalhada, o escopo do projeto. Foi escrita a carta do projeto (project charter), com base na qual foi feita a Estrutura Analítica do Projeto (EAP), foram definidos o cronograma e a alocação de recursos (inclusive financeiros) com ajuda de um gráfico de Gantt. Após a definição e aprovação do cronograma e das disposições de gastos com o patrocinador, o projeto foi iniciado. A equipe foi totalmente informada do escopo do projeto e o debateu extensamente, tendo inclusive proposto pequenas mudanças no mesmo para facilitar sua implementação e aumentar sua qualidade, mudanças estas que foram aceitas de bom grado pelo patrocinador. Após a entrega dos primeros produtos do projeto (deliverables), alguns interessados do projeto (stakeholders) começaram a reclamar de que os produtos não atendiam às suas necessidades de forma correta, não servindo como solução para seus problemas. Qual dos princípios básicos da gestão de projetos foi violado de forma a causar essa situação?
Provas
Questão presente nas seguintes provas

Dado o gráfico de Gantt de um projeto representado pela figura acima, qual é o caminho crítico desse projeto?
Provas
Questão presente nas seguintes provas
Durante a elaboração de um produto, o gerente do projeto teve dificuldades de controlar a realização das atividades, posto que estas possuíam demasiados produtos (deliverables), dificultando seu entendimento do processo de gerenciamento das mesmas. Qual das seguintes ações este gerente deve realizar para minimizar esse problema?
Provas
Questão presente nas seguintes provas
2180339
Ano: 2010
Disciplina: TI - Organização e Arquitetura dos Computadores
Banca: CESGRANRIO
Orgão: Petrobrás
Disciplina: TI - Organização e Arquitetura dos Computadores
Banca: CESGRANRIO
Orgão: Petrobrás
Considere o cenário abaixo descrito para responder a questão.
Seja um sistema de computação que possui uma memória principal com capacidade máxima de endereçamento de 64K células (1K=210), sendo que cada célula armazena um byte de informação.
Para criar um sistema de controle e funcionamento de sua memória cache, a memória principal é constituída de blocos de oito bytes cada. A memória cache do sistema é do tipo mapeamento direto, contendo 32 quadros.
Dessa forma, em que quadro estaria contido o byte armazenado no seguinte endereço de memória principal: 0001000100011011?
Provas
Questão presente nas seguintes provas
Cadernos
Caderno Container