Foram encontradas 1.925 questões.

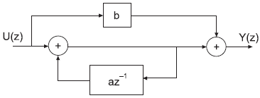
O diagrama em bloco acima mostra o modelo de um sistema linear, discreto e causal, no domínio da variável complexa z.
A função de transferência que relaciona a saída com a entrada é
Provas
Questão presente nas seguintes provas
Considere o enunciado a seguir para responder a questão.
O modelo de um sistema linear, discreto e causal, é representado pela seguinte função de transferência:
!$ G(z)=\large{2z^2-3z \over z^2-3z+2} !$
A expressão da resposta ao impulso desse sistema, válida apenas para n !$ \ge !$ 0, é
Provas
Questão presente nas seguintes provas
Considere o enunciado a seguir para responder a questão.
O modelo de um sistema linear, discreto e causal, é representado pela seguinte função de transferência:
!$ G(z)=\large{2z^2-3z \over z^2-3z+2} !$
As primeiras três amostras da resposta ao impulso desse sistema, g(0), g(1) e g(2), são
Provas
Questão presente nas seguintes provas

O gráfico acima mostra a curva de módulo do diagrama de BODE da função de transferência !$ G(s)=\large{K \over s^2+5s+6} !$.
Com base nesse gráfico, o valor do ganho K é
Provas
Questão presente nas seguintes provas
Considere o enunciado a seguir para responder a questão.

O diagrama em blocos acima mostra o modelo simplificado de um motor DC. A saída é a velocidade angular [rad/s] representada pelo sinal !$ Ω !$(s), e as entradas são: tensão na armadura V(s) e torque de carga T(s). Com base nesse diagrama:
Aplicando o princípio da superposição, qual a função de transferência que liga o torque de carga T(s) à velocidade angular !$ Ω !$(s)?
Provas
Questão presente nas seguintes provas
Considere o enunciado a seguir para responder a questão.

O diagrama em blocos acima mostra o modelo simplificado de um motor DC. A saída é a velocidade angular [rad/s] representada pelo sinal !$ Ω !$(s), e as entradas são: tensão na armadura V(s) e torque de carga T(s). Com base nesse diagrama:
Aplicando o princípio da superposição, qual a função de transferência que liga a tensão da armadura V(s) à velocidade angular !$ Ω !$(s)?
Provas
Questão presente nas seguintes provas
Um sistema de controle linear e contínuo, com realimentação de saída, apresenta uma estrutura de compensação na malha direta, em série com a planta, cuja função de transferência é !$ H(s)=K_p \left( 1+ \large{1 \over T_is} \right) !$.
Esse compensador é do tipo
Provas
Questão presente nas seguintes provas
Um sistema linear e contínuo apresenta a equação diferencial do seu modelo em espaço de estados, referida à entrada !$ u(t) !$, dada por
!$ \begin{bmatrix}x_1 \\ x_2 \\ x_3\end{bmatrix}=\begin{bmatrix}0 & 0 & -1 \\ 0 & 1 & 1 \\ 0 & -12 & -6 \end{bmatrix} \begin{bmatrix}x_1 \\ x_2 \\ x_3\end{bmatrix} + \begin{bmatrix}0 \\ 0 \\ 1\end{bmatrix}u !$ onde o vetor de estados é definido por !$ \begin{bmatrix}x_1 & x_2 & x_3\end{bmatrix}^T !$.
Esse sistema tem três polos reais, cujos valores são:
Provas
Questão presente nas seguintes provas
Sobre os tipos de ruídos que influenciam os sinais presentes nos Sistemas de Comunicações, considere as afirmativas a seguir.
I - O ruído térmico é gerado pelo movimento randômico de partículas eletricamente carregadas (elétrons) nos meios de condução.
II - O ruído branco é o tipo que apresenta a amplitude do seu espectro de frequência distribuído de forma randômica na faixa de frequência do canal de transmissão.
III - O ruído impulsivo é uma ocorrência irregular de pulsos ou estalos de curta duração e de amplitude relativamente grande presente nos sinais que trafegam nos sistemas de comunicações.
Está correto APENAS o que se afirma em
Provas
Questão presente nas seguintes provas
Calculando o coeficiente complexo da série de Fourier, através da integral !$ C_n={\large{1 \over T}}\int\limits_{0}^{T}\, v(t)e^{-jnω_ot}dt !$ onde !$ ω_o=\large{2 \pi \over T} !$ obtém-se !$ C_n={\large{A \over n \pi}} \sin \left( \large{2n \pi \over 5} \right) !$ , o valor do duty cicle, definido pela relação !$ \large{ \mu \over T} !$, é
Provas
Questão presente nas seguintes provas
Cadernos
Caderno Container