Foram encontradas 1.925 questões.
Considere a seguinte experiência que visa a identificar as cores presentes numa tinta: “pinga-se uma gota de tinta de uma caneta hidrocor a 1 cm da extremidade de uma tira de papel de filtro. Introduz-se essa extremidade da tira de papel de filtro em um solvente (água ou álcool), sem que o solvente toque na tinta. Após alguns segundos, o solvente sobe por capilaridade e, no arraste, as diferentes cores presentes na tinta se separam”.
Esse método de separação é denominado
Provas
Questão presente nas seguintes provas
A reação de esterificação, também chamada de esterificação de Fischer, caracteriza-se por ser lenta e reversível. Ela ocorre, porém, mais rapidamente em presença de ácido inorgânico forte, geralmente ácido clorídrico ou ácido sulfúrico. A reação a seguir é um exemplo de esterificação.

Sobre as reações de esterificação, afirma-se que o(a)
Provas
Questão presente nas seguintes provas
A fermentação de açúcares, como a glicose e a frutose presentes nas frutas, gera etanol através do processo de fermentação. O vinho é uma bebida que contém etanol obtido pela fermentação de substâncias presentes na uva. É comum o vinho azedar devido à presença de oxigênio no ar atmosférico.
Sobre o processo de oxidação do etanol, afirma-se que a(o)
Provas
Questão presente nas seguintes provas
Uma mistura gasosa, a 25 °C, é formada por 16,8 g de nitrogênio e 9,6 g de oxigênio e está contida em um recipiente de 2,0 L.
A razão entre as pressões parciais do oxigênio e do nitrogênio no recipiente, considerando comportamento ideal para os gases, é aproximadamente
Dados: R = 0,082 L atm mol−1 K−1
Provas
Questão presente nas seguintes provas
O ácido maleico (I) é um ácido orgânico insaturado, muito utilizado na produção de resinas sintéticas. Esse ácido pode ser facilmente transformado em ácido fumárico (II).

Os ácidos maleico e fumárico
Provas
Questão presente nas seguintes provas
Considere uma quantidade de gás hélio contida em um balão de borracha que ocupa um volume V1, sob uma pressão P1.
Quando a pressão do gás hélio é reduzida quatro vezes, o volume final do sistema, sabendo-se que NÃO houve variação na temperatura e que o gás possui um comportamento ideal, é
Provas
Questão presente nas seguintes provas
A reação abaixo representa a conversão de hexano em 2-metil-pentano na presença de um catalizador.

O hexano e o 2-metil-pentano possuem uma relação de isomeria
Provas
Questão presente nas seguintes provas
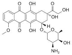
A doxorrubicina é uma substância química muito utilizada como quimioterápico no tratamento de tumores sólidos.
Observe a sua estrutura a seguir.

Nessa estrutura, estão presentes entre outras as seguintes funções orgânicas:
Provas
Questão presente nas seguintes provas
A indústria química consegue produzir substâncias sintéticas com o mesmo aroma das frutas naturais. A maioria dos ésteres de baixo peso molecular possuem aroma de fruta e, por esse motivo, são muito utilizados na fabricação de balas e sucos.
Por exemplo, o éster abaixo possui um característico aroma de abacaxi.

Segundo as regras da IUPAC, sua nomenclatura é
Provas
Questão presente nas seguintes provas
Apesar da relação direta com os metais, o fenômeno da corrosão ocorre, também, com outros materiais como concreto e polímeros orgânicos.
Sobre corrosão, considere as afirmativas a seguir.
I - A água do mar é considerada um meio corrosivo, e o solo é considerado um meio inerte, não corrosivo.
II - A corrosão do ferro é um processo espontâneo e representa a tendência de formação de um produto mais estável.
III - A proteção catódica é uma escolha adequada para revestir superfícies metálicas passíveis de corrosão.
Está correto APENAS o que se afirma em
Provas
Questão presente nas seguintes provas
Cadernos
Caderno Container