Foram encontradas 2.689 questões.
João acorda todo dia, escova seus dentes, toma banho e coloca a sua roupa. Depois vai para a cozinha preparar o seu café. Ele junta os ingredientes e prepara um copo de café e seu sanduíche, come-o e vai trabalhar. Na eventualidade de faltar algum ingrediente, ele sai de casa e vai à padaria comprá-lo, retornando depois para completar essa rotina.
Pensando nessa rotina como um processo de negócio e analisando essa situação com base nos conceitos do BPM, como pode ser chamada a ida à padaria?
Provas
Questão presente nas seguintes provas
Em campanhas de prospecção geoquímica, as técnicas de amostragem são importantes para a qualidade dos dados químicos obtidos em laboratório.
Para a verificação do erro de amostragem, utiliza-se amostra
Provas
Questão presente nas seguintes provas
A definição do escopo de um projeto é uma atividade fundamental na qual é definido o trabalho que será realizado e no que consistirá, efetivamente, tal projeto.
Uma das entradas para essa definição é a(o)
Provas
Questão presente nas seguintes provas
Arenitos com mais de 15% de matriz argilosa e grãos variando entre 0,125 mm e 1,000 mm, pobremente selecionados, angulosos a subangulosos, são texturalmente classificados como
Provas
Questão presente nas seguintes provas
O termo arcózio é aplicado para a denominação de arenitos ricos em
Provas
Questão presente nas seguintes provas
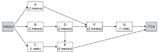
Seja o diagrama de redes de um projeto, no qual foi especificada a duração de cada tarefa.

Qual é a duração, em meses, do caminho crítico desse projeto?
Provas
Questão presente nas seguintes provas
Dentre os termos abaixo relacionados, qual NÃO pode ser utilizado na classificação de rochas carbonáticas?
Provas
Questão presente nas seguintes provas
Algumas rochas ígneas apresentam textura marcada pela presença de cristais significativamente maiores, imersos em uma trama mais fina ou mesmo vítrea.
Esses cristais de tamanho maior são denominados
Provas
Questão presente nas seguintes provas
Qual é o bem mineral, associado a rochas carbonatíticas, de que o Brasil é o detentor da maior reserva mundial?
Provas
Questão presente nas seguintes provas
Um gráfico de Gantt é uma ferramenta que pode auxiliar a determinar o caminho crítico de um projeto e as folgas de suas atividades. Um gerente iniciante apresentou o gráfico de Gantt de seu projeto.

Qual é o erro que esse diagrama possui?
Provas
Questão presente nas seguintes provas
Cadernos
Caderno Container