Foram encontradas 70 questões.
Na modulação digital, verifica-se que um sinal denominado portador é modulado por bits 0 e 1, em sequências de pulsos com amplitude, frequência ou fase que variam em função do bit que se deseja transmitir. Nesse sentido, podem-se citar diversas modulações binárias, tais como ASK, FSK e PSK. As Figuras abaixo representam o diagrama do modulador ASK e a sua respectiva saída.


Na modulação digital, verifica-se que um sinal denominado portador é modulado por bits 0 e 1, em sequências de pulsos com amplitude, frequência ou fase que variam em função do bit que se deseja transmitir. Nesse sentido, podem-se citar diversas modulações binárias, tais como ASK, FSK e PSK. As Figuras abaixo representam o diagrama do modulador ASK e a sua respectiva saída.
Diante do exposto, conclui-se que os ganhos A e B dos amplificadores são, respectivamente,
Provas
Questão presente nas seguintes provas

Qual é o valor r.m.s. desse sinal aleatório?
Provas
Questão presente nas seguintes provas
Um joystick analógico de videogame usa dois monoestáveis para a leitura digital dos valores resistivos nos eixos X e Y. Uma rotina dispara_monoestaveis( ) faz com que os monoestáveis iniciem a geração dos dois pulsos digitais de tamanhos proporcionais aos valores resistivos. A função le_joystick( ) retorna:
• 0, se ambos os pulsos dos monoestáveis estiverem finalizados;
• 1, se apenas o pulso do monoestável no eixo X estiver finalizado;
• 2, se apenas o pulso do monoestável no eixo Y estiver finalizado;
• 3, se ambos os pulsos dos monoestáveis ainda estiverem ativados.
Quando o joystick estiver relaxado, após uma execução de dispara_monoestaveis( ), realizam-se 10 execuções da função le_joystick( ), obtendo-se os seguintes valores retornados: 3, 3, 3, 3, 3, 2, 0, 0, 0, 0. Ao se flexionar o joystick para a frente (eixo Y) e para a direita (eixo X), os valores retornados após as 10 execuções são: 3, 3, 3, 3, 3, 3, 3, 3, 2, 0
Se forem lidos os valores 3, 3, 2, 2, 2, 2, 2, 0, 0, 0, 0, é porque o joystick está flexionado
• 0, se ambos os pulsos dos monoestáveis estiverem finalizados;
• 1, se apenas o pulso do monoestável no eixo X estiver finalizado;
• 2, se apenas o pulso do monoestável no eixo Y estiver finalizado;
• 3, se ambos os pulsos dos monoestáveis ainda estiverem ativados.
Quando o joystick estiver relaxado, após uma execução de dispara_monoestaveis( ), realizam-se 10 execuções da função le_joystick( ), obtendo-se os seguintes valores retornados: 3, 3, 3, 3, 3, 2, 0, 0, 0, 0. Ao se flexionar o joystick para a frente (eixo Y) e para a direita (eixo X), os valores retornados após as 10 execuções são: 3, 3, 3, 3, 3, 3, 3, 3, 2, 0
Se forem lidos os valores 3, 3, 2, 2, 2, 2, 2, 0, 0, 0, 0, é porque o joystick está flexionado
Provas
Questão presente nas seguintes provas
Bancos de dados relacionais são implementados por meio de tabelas que utilizam um dos atributos que as integram, como o campo chave primária. Esse fato é de suma importância para a consistência e a recuperação dos dados.
Por suas características, dois atributos utilizados como chaves primárias são
Por suas características, dois atributos utilizados como chaves primárias são
Provas
Questão presente nas seguintes provas
Considerem-se os seguintes resultados de uma amostra:
1º quartil = 96; 2º quartil = 102; 3º quartil = 116
• 3 menores valores: 25; 65; 93
• 3 maiores valores: 121; 130; 150
Considerando o box plot, verifica-se que há
1º quartil = 96; 2º quartil = 102; 3º quartil = 116
• 3 menores valores: 25; 65; 93
• 3 maiores valores: 121; 130; 150
Considerando o box plot, verifica-se que há
Provas
Questão presente nas seguintes provas
A Figura abaixo mostra um diagrama de fluxo de sinal que representa as equações simultâneas que descrevem um sistema de controle.

Sabendo-se que K é uma constante, qual é a função de transferência H(s) = O(s) / I(s) representada por esse diagrama?
Provas
Questão presente nas seguintes provas
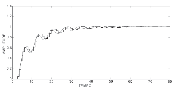
A Figura abaixo representa a resposta ao degrau de um sistema de controle, em que as unidades dos eixos horizontal e vertical foram suprimidas por não interferirem na análise.

Com relação à sua natureza, os sinais referentes à resposta em linha pontilhada e em linha contínua, mostradas nessa Figura, são classificados, respectivamente, como
Provas
Questão presente nas seguintes provas
Em algumas aplicações na área de instrumentação, é necessário amplificação com elevado ganho de malha fechada. Nesse sentido, é possível acoplar vários estágios de amplificadores com alta impedância de entrada, formando uma ligação conhecida como cascata.
Se três estágios de amplificadores idênticos com ganho de tensão de 2 dB forem ligados em cascata, qual será o ganho total, em dB, e qual o efeito que ocorre na largura de faixa resultante dessa ligação?
Se três estágios de amplificadores idênticos com ganho de tensão de 2 dB forem ligados em cascata, qual será o ganho total, em dB, e qual o efeito que ocorre na largura de faixa resultante dessa ligação?
Provas
Questão presente nas seguintes provas
No circuito abaixo, considere que o transistor Q1 apresenta uma tensão VEB = 0,7 V quando a junção base-emissor está diretamente polarizada, e que o seu parâmetro β é muito grande. Considere também o Gráfico da evolução no tempo da tensão VB aplicada à base do transistor Q1 .

O Gráfico da corrente I R2 que circula pelo resistor R2 será
Provas
Questão presente nas seguintes provas
Sejam AH e AL as partes alta e baixa de 8 bits, respectivamente, do registrador AX de 16 bits.
MOV AH,20h
MOV AL,80h
ADD AL,AH
MOVSX AX,AL
ADD AL,AH
MOVZX AX,AL
Sabendo-se que a instrução MOVSX realiza uma cópia com extensão de sinal e a MOVZX realiza uma cópia com extensão de zeros, a execução do código listado acima faz com que AX termine com o valor
MOV AH,20h
MOV AL,80h
ADD AL,AH
MOVSX AX,AL
ADD AL,AH
MOVZX AX,AL
Sabendo-se que a instrução MOVSX realiza uma cópia com extensão de sinal e a MOVZX realiza uma cópia com extensão de zeros, a execução do código listado acima faz com que AX termine com o valor
Provas
Questão presente nas seguintes provas
Cadernos
Caderno Container