Magna Concursos

Foram encontradas 2.827 questões.

A palavra corrosão denota destruição de metal por ação química ou eletroquímica. Os mecanismos de corrosão são, em sua maioria, eletroquímicos. Quanto a esse assunto, julgue os itens a seguir.

O pH é uma medida da atividade iônica do hidrogênio definida pela equação pH = log10 a H+, em que a H+ é a concentração molar de íons de hidrogênio multiplicada pelo coeficiente de atividade iônica do meio.

 

Provas

Questão presente nas seguintes provas
2699007 Ano: 2004
Disciplina: Química
Banca: CESPE / CEBRASPE
Orgão: Petrobrás
No que se refere a petróleo e seus derivados, julgue o item seguinte.
A história do petróleo é bem recente. O ano de 1859, data em que Edwin L. Drake perfurou o primeiro poço de petróleo na Pensilvânia (EUA), é considerado o marco do início do uso pelo homem desse recurso natural.
 

Provas

Questão presente nas seguintes provas
2699006 Ano: 2004
Disciplina: Química
Banca: CESPE / CEBRASPE
Orgão: Petrobrás
Acerca das propriedades básicas do átomo de carbono, julgue o item a seguir.
O primeiro postulado de Kekulé refere-se à tetravalência do carbono, enquanto o segundo estabelece que as quatro valências do carbono são iguais entre si.
 

Provas

Questão presente nas seguintes provas
2699005 Ano: 2004
Disciplina: Química
Banca: CESPE / CEBRASPE
Orgão: Petrobrás
Provas:

Enunciado 2814278-1

A figura acima mostra as análises cromatográficas de 6 tipos de petróleo. O sistema de cromatografia gasosa usado nessas análises inclui uma coluna analítica tubular de parede revestida aberta — wall-coated open tubular (WCOT) —, de sílica fundida, com 100 m de comprimento e 0,25 mm de diâmetro interno nominal, empacotada com polidimetilsiloxano como fase estacionária. A montante da coluna analítica existe uma précoluna pequena (150 mm × 6,35 mm) empacotada com Chromosorb W coberto com 5% de polidimetilsiloxano. Enquanto a pré-coluna é mantida a 200 ºC, a coluna analítica é programada para gerar um gradiente de temperatura de 25 ºC para 180 ºC, alterando 3 ºC/min. O pico marcado com “IS” refere-se a um padrão interno e o pico marcado com “Sur” refere-se a um substituto. Considerando essas informações, julgue o item que se segue.

É correto concluir que os 6 diferentes tipos de petróleo analisados possuem uma composição de hidrocarbonetos muito similar.

 

Provas

Questão presente nas seguintes provas
2699004 Ano: 2004
Disciplina: Química
Banca: CESPE / CEBRASPE
Orgão: Petrobrás
Provas:
Entre os primeiros países a explorar o fundo do oceano em busca do ouro negro, o Brasil desenvolveu tecnologia própria de prospecção e extração, necessitando para isso do emprego de equipamentos resistentes à corrosão provocada pela água do mar.
Scientific American, edição especial n.o 3, 2003 (com adaptações).
A corrosão é um processo eletroquímico e a do ferro é uma das mais preocupantes em construções marítimas por causa da presença do sal dissolvido na água, o que acelera o processo. Semi-reações importantes para avaliar esse fenômeno são apresentadas abaixo, com seus respectivos potenciais de redução (E). O símbolo E0 indica o potencial-padrão de redução.
Enunciado 2813595-1
Acerca do tema abordado no texto acima, julgue o item que se segue, considerando as informações apresentadas.
A reação de formação da ferrugem chega ao seu final quando a velocidade de oxidação do ferro é igual à velocidade de redução do oxigênio.
 

Provas

Questão presente nas seguintes provas
2699003 Ano: 2004
Disciplina: Química
Banca: CESPE / CEBRASPE
Orgão: Petrobrás
Acerca das propriedades básicas do átomo de carbono, julgue o item a seguir.
O átomo de carbono pode sofrer hibridações dos tipos sp3, sp2 e sp, que resultam em configurações tetraédrica, com ângulo médio entre as ligações de 109º28’, trigonal plana, com ângulo médio de 120º entre as suas ligações, e linear, que apresenta ângulo médio entre as ligações de 180º, respectivamente.
 

Provas

Questão presente nas seguintes provas
2699002 Ano: 2004
Disciplina: Química
Banca: CESPE / CEBRASPE
Orgão: Petrobrás
Provas:
(Querida, enfim encontramos um pedaço do céu na terra,
do jeito que a gente sempre sonhou.
Aqui o ar realmente existe, dá até pra pegar.
Ai, o verde, as árvores são verdes, o rio é verde, o céu, a
terra, o Sol,
As borboletas, as pessoas, tudo verde
E você nessa paisagem fica tão linda.
Venha cá, me dê um beijo, tire a máscara e me dê um beijo).
Nuvens de enxofre
Ver do mangue o entardecer
E sobre o oleoduto
Nosso amor vai arder
Nuvens de cinza
Cheiro de gás
Lua de mel
Sons de sirene, como um sino a soar
E no embalo das tosses
Um mutante a cantar
Paira poeira, pára o pulmão
Numa lua de mel
Em Cubatão.
Com base nos trechos da letra de música acima, Lua de Mel, composta pelo grupo Premeditando o Breque e inspirada na problemática ambiental de Cubatão – SP, julgue o item a seguir.
O elemento químico mencionado e destacado em vermelho é responsável pela acidificação da chuva.
 

Provas

Questão presente nas seguintes provas
2699001 Ano: 2004
Disciplina: Química
Banca: CESPE / CEBRASPE
Orgão: Petrobrás
Provas:
A toxicidade de um hidrocarboneto líquido depende em grande parte de sua composição e de suas características físicas. A partir dessa assertiva, e considerando misturas de hidrocarbonetos líquidos A, com concentrações elevadas de frações alifáticas de alto peso molecular de C16 a C25, e B, com concentrações elevadas de benzeno ou de fração aromática de C8 a C16, julgue o item seguinte.
A expressão “frações alifáticas” significa que as moléculas possuem uma cadeia fechada de átomos de carbono.
 

Provas

Questão presente nas seguintes provas
2699000 Ano: 2004
Disciplina: Química
Banca: CESPE / CEBRASPE
Orgão: Petrobrás
Provas:
O petróleo e o gás natural são as principais fontes de matéria-prima para a indústria. O gás natural é formado pelos alcanos mais voláteis, sendo o metano seu principal constituinte. Sua queima é muito utilizada na geração de energia para as indústrias, sendo usada também como combustível automotivo.
O petróleo é formado basicamente por alcanos de cadeia normal ou ramificada, cicloalcanos e, em menor proporção, por alcenos e hidrocarbonetos aromáticos. Os hidrocarbonetos aromáticos são uma classe de substâncias de importância industrial obtidas em grande escala a partir dos cicloalcanos extraídos do petróleo. As sínteses de dois hidrocarbonetos aromáticos são apresentadas a seguir.
Enunciado 2810409-1
Considerando as informações acima e sabendo que M(C) = 12 g/mol e M(H) = 1 g/mol, julgue o item seguinte.
Se o oxigênio gasoso se comportasse idealmente, os choques entre suas moléculas seriam elásticos e não existiriam interações eletrostáticas entre elas.
 

Provas

Questão presente nas seguintes provas
2698999 Ano: 2004
Disciplina: Química
Banca: CESPE / CEBRASPE
Orgão: Petrobrás
Laranja mecânica
O que faz uma laranja ter gosto de laranja é o resultado da combinação de sessenta moléculas diferentes, classificadas em cinco grupos de substâncias químicas — terpenos, ésteres, aldeídos, hidrocarbonetos e álcoois.
A tabela a seguir apresenta as características básicas desses grupos na composição do gosto da laranja, e a figura ilustra a fórmula estrutural do limoneno, um exemplo de molécula do grupo dos terpenos.
Enunciado 2803785-1
Metamorfoses saborosas
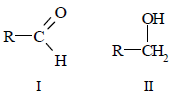
Às vezes, os gostos e os aromas vêm de fontes inusitadas. É fácil imaginar que não existe nada de canela no chiclete que tem esse sabor escrito no rótulo. O que pouca gente sabe é que, para fazer o chiclete de canela, usa-se um produto natural completamente diferente: a amêndoa. Simplesmente, fica mais barato para o fabricante. O químico aromista pega a amêndoa, isola a substância desejada e a submete a uma reação de oxidação. Ou seja, acrescenta oxigênio à sua estrutura molecular. O resultado é uma mudança nas suas propriedades, entre as quais o gosto e o aroma. Exemplos desse processo são ilustrados a seguir.
Enunciado 2803785-2
João Luiz Guimarães. A oficina do sabor. In: Superinteressante, n.º 123, dez./1997, p. 34-9 (com adaptações).
Tendo como referência os textos apresentados acima, julgue o item que se segue.
As figuras I e II a seguir poderiam representar corretamente as moléculas do decenal e do decanol, se os grupos indicados por R em ambas as estruturas forem iguais.
Enunciado 2803785-3
 

Provas

Questão presente nas seguintes provas