Foram encontradas 820 questões.
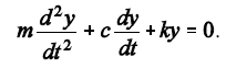
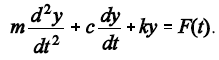
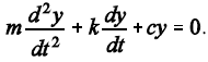
O sistema ao lado pode ser descrito pela
equação
Provas
Apesar de a composição quali e quantitativa de íons presentes na
água do mar variar em amostras coletadas em diferentes mares e
oceanos, a proporção relativa dos principais íons, como Na+ e CR- ,
é aproximadamente constante. Assim, se, para uma amostra de
água do mar, a porcentagem de íons Na+ for de 25,0%, então a
porcentagem de íons CR- será
Provas
A respeito da composição média de amostras de água do mar e de água doce mostrada na tabela, assinale a opção correta.
Provas
As moléculas responsáveis pela ação de limpeza em
produtos detergentes possuem uma estrutura química com
características que podem ser representadas esquematicamente
pelo desenho abaixo.

Em meio aquoso, essas moléculas se associam formando
agregados esféricos conhecidos como micelas. Como as micelas
possuem dimensão coloidal, as misturas de água e detergente são
dispersões coloidais, e não soluções. Além do uso na limpeza
doméstica, detergentes podem ser adicionados a óleos
lubrificantes de motores, prevenindo o acúmulo de resíduos de
carvão nos pistões.
Com relação a detergentes e suas dispersões coloidais e tendo o
texto acima como referência, assinale a opção correta.
Provas
Óleo lubrificante automotivo usado, observado a olho nu,
é um material homogêneo, porém pode ser considerado
heterogêneo se for observado por meio de um microscópio, pois
nele estão dispersos macromoléculas, agregados moleculares ou
partículas com dimensões entre 1 a 1.000 nm. Materiais que
possuem esse comportamento são classificados como colóides e,
dependendo do estado físico da fase dispersa e do meio de
dispersão, os colóides podem receber denominações bem
específicas. A tabela a seguir apresenta alguns exemplos dessa
classificação de colóides.

Com base nessas informações, neblina, fumaça com fuligem,
espuma de sabão e pasta de dente são colóides classificados,
respectivamente, como
Provas
O petróleo é ainda a principal fonte de energia para
diversos setores da economia. Da extração do petróleo até a
utilização de seus componentes, há um longo caminho. Sendo o
petróleo uma mistura complexa de compostos com
predominância de hidrocarbonetos de cadeia linear, uma das
primeiras etapas da refinação do óleo cru consiste em separar a
mistura em frações mais simples por destilação fracionada. A
tabela a seguir mostra o nome de algumas das principais frações
destiladas do petróleo e as respectivas faixas de temperatura de
ebulição.

Provas

Provas
A respeito do perfil energético e da equação química que
representam a reação de combustão do C13H28 mostrados no texto,
assinale a opção correta.
Provas
Acerca da equação química que representa a reação de combustão apresentada no texto, assinale a opção correta.
Provas
Os principais problemas causados pela disposição
inadequada do lixo gerado pela sociedade são a poluição do solo
e dos lençóis freáticos, a proliferação de insetos e roedores
transmissores de doenças, e o acúmulo de materiais nãodegradáveis
ou tóxicos. Devido a características físico-químicas
próprias, cada tipo de material descartado como lixo pode ter um
destino específico ou ser reciclado. Alguns materiais recicláveis
são: vidro, papel, plástico, metal e óleo de motor.
Sobre a reciclagem de vidro e metais em geral e a variação de
entalpia associada a processos de fusão (ΔHfus) e solidificação
(ΔHsolid) à pressão constante, assinale a opção correta.
Provas
Caderno Container