Foram encontradas 1.530 questões.


Provas


No espectro de RMN • 1H do clembuterol, o átomo de hidrogênio ligado ao átomo de nitrogênio do grupo amino alifático absorve em campo mais baixo que os átomos de hidrogênio ligados ao átomo de nitrogênio do grupo amino aromático.
Provas


Provas

Acerca dessa situação hipotética e considerando a figura acima, julgue os itens abaixo.
O processo de obtenção do crack a partir da cocaína protonada consiste em solubilização inicial em água, basificação com solução aquosa de hidróxido de sódio e extração com solvente orgânico, seguida das etapas convencionais de isolamento.
Provas

Acerca dessa situação hipotética e considerando a figura acima, julgue os itens abaixo.
A partir das características estruturais da cocaína protonada e do crack, espera-se que o crack seja mais lipofílico e que possua uma pressão de vapor, à temperatura ambiente, menor que a da cocaína protonada.
Provas

Acerca dessa situação hipotética e considerando a figura acima, julgue os itens abaixo.
Para deslocar a mancha com valor de Rf = 0, deve-se utilizar um solvente de desenvolvimento menos polar que o n-hexano.
Provas

Acerca dessa situação hipotética e considerando a figura acima, julgue os itens abaixo.
Nas condições experimentais utilizadas, quanto maior o valor do Rf de uma substância, maior a sua polaridade.
Provas

Acerca dessa situação hipotética e considerando a figura acima, julgue os itens abaixo.
A amostra é composta por dois ou mais componentes.
Provas

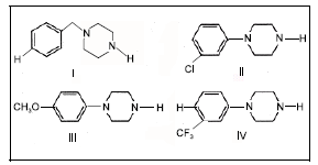
A figura acima mostra as estruturas de compostos que possuem uma unidade de piperazina em sua estrutura. Esse tipo de molécula pode se ligar a receptores de serotonina. Embora os compostos derivados de piperazina não possam ser todos considerados como compostos seletivos para receptores de serotonina, eles podem ser convertidos em compostos sitiosseletivos mais específicos, pela preparação de derivados com substituintes cuidadosamente selecionados. Em função de sua fácil disponibilidade e de seu caráter legal, esse grupo de compostos psicoativos tem uso potencial na síntese de drogas de uso abusivo. Acerca das estruturas dos compostos da figura, julgue os itens a seguir.
Provas

A figura acima mostra as estruturas de compostos que possuem uma unidade de piperazina em sua estrutura. Esse tipo de molécula pode se ligar a receptores de serotonina. Embora os compostos derivados de piperazina não possam ser todos considerados como compostos seletivos para receptores de serotonina, eles podem ser convertidos em compostos sitiosseletivos mais específicos, pela preparação de derivados com substituintes cuidadosamente selecionados. Em função de sua fácil disponibilidade e de seu caráter legal, esse grupo de compostos psicoativos tem uso potencial na síntese de drogas de uso abusivo. Acerca das estruturas dos compostos da figura, julgue os itens a seguir.
Considerando os espectros de ressonância magnética nuclear de hidrogênio (RMN• 1H) dos compostos I e IV, o átomo de hidrogênio destacado no anel aromático do composto I apresentará deslocamento químico - expresso em ppm - maior que o átomo de hidrogênio destacado no anel aromático do composto IV.
Provas
Caderno Container