Foram encontradas 2.450 questões.
Com o objetivo de determinar os parâmetros da carga de um sistema e de se projetar uma rede de casamento de impedância para essa carga, foram realizadas medidas por meio de uma linha de transmissão fendida de impedância característica de 50 Ω. Considere que se obtiveram os seguintes resultados: distância de 9 cm entre a carga e o primeiro mínimo de tensão; distância de 21 cm entre dois mínimos sucessivos de tensão; coeficiente de onda estacionária na carga igual a 4. A partir dessas informações, julgue o item a seguir, assumindo perdas desprezíveis no sistema.
É correto concluir que a freqüência do sinal utilizado nessa medida é inferior a 800 MHz, e a carga é complexa, com reatância capacitiva. Para se realizar, nessa freqüência, o casamento de impedância entre a carga e uma linha de transmissão de 50 Ω, é suficiente usar um transformador de um quarto de comprimento de onda com impedância característica inferior a 30 Ω, desde que inserido em um ponto de mínimo de tensão na linha de 50 Ω.
Provas
Considerando que, em um sistema de instrumentação, um sinal x(t) seja adquirido à taxa de amostragem de 1 kHz, com resolução de 16 bits, julgue os itens que se seguem.
Se o sinal x(t) for filtrado pelo filtro representado por y(n) = x(n) + x(n ! 1) + x(n ! 2) + x(n ! 4), em que x(n) corresponde à amostra do sinal de entrada x(n), n = 0, 1, 2, ..., somente os componentes com freqüências mais baixas serão atenuadas.
Provas

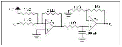
A figura acima mostra o diagrama de um circuito eletrônico em que a entrada é representada pela tensão ve e a saída, pela tensão vs. Com relação a esse circuito, e considerando que todos os componentes são ideais, julgue os itens seguintes.
A impedância de entrada vista pela fonte ve é igual a 3 k Ω .
Provas
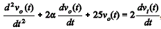
A relação entre a tensão de entrada vi(t) e a tensão de
saída vo(t) em um circuito elétrico é dada pela equação
diferencial ,
para t > 0.
Nessa equação, " é uma constante. Sabe-se que, para uma
entrada do tipo vi(t) = 10 cos (5t) V e t > 0, a amplitude da
tensão de saída em regime permanente é igual a 5 V. Com
base nessas informações, julgue os itens a seguir,
considerando t > 0.
Na freqüência angular de 5 rad/s, fase da tensão de saída vo(t) é igual à fase da tensão de entrada do sinal vi(t).
Provas
A relação entre a tensão de entrada vi(t) e a tensão de
saída vo(t) em um circuito elétrico é dada pela equação
diferencial ,
para t > 0.
Nessa equação, " é uma constante. Sabe-se que, para uma
entrada do tipo vi(t) = 10 cos (5t) V e t > 0, a amplitude da
tensão de saída em regime permanente é igual a 5 V. Com
base nessas informações, julgue os itens a seguir,
considerando t > 0.
A resposta transitória do circuito no domínio do tempo é do tipo subamortecida.
Provas

A figura acima ilustra um gerador síncrono trifásico (G) que alimenta um motor de indução trifásico (M) por meio de um transformador trifásico (T). O quadro que se segue mostra algumas características desses equipamentos.

Em certo momento, o motor aciona uma carga mecânica que solicita 900 HP à velocidade de 1.728 rpm e é alimentado com tensão nominal, situação em que opera com fator de potência igual a 0,746 e rendimento igual a 80%.
Com base nessa situação, julgue os itens a seguir.
Considerando que o retificador citado na tabela seja alimentado pelo próprio gerador, a figura a seguir é adequada para representar a forma de onda da tensão de saída — vO — desse conversor CA/CC em determinado ponto de operação, sendo T = 16,67 ms e 

Provas
- Transformadores e Máquinas ElétricasMáquinas EstáticasTransformadores Trifásicos e Autotransformadores

A figura acima ilustra um gerador síncrono trifásico (G) que alimenta um motor de indução trifásico (M) por meio de um transformador trifásico (T). O quadro que se segue mostra algumas características desses equipamentos.

Em certo momento, o motor aciona uma carga mecânica que solicita 900 HP à velocidade de 1.728 rpm e é alimentado com tensão nominal, situação em que opera com fator de potência igual a 0,746 e rendimento igual a 80%.
Com base nessa situação, julgue os itens a seguir.
Um outro ramal formado por um transformador Dy5 e por um motor de indução trifásico, com potências equivalentes às dos equipamentos originais, não poderia ser ligado à barra do gerador, pois os dois transformadores citados não possuem o mesmo defasamento angular.
Provas
- Transformadores e Máquinas ElétricasPrincípios BásicosPerdas, rendimento, torque, potência, ângulo de potência e funcionamento geral

A figura acima ilustra um gerador síncrono trifásico (G) que alimenta um motor de indução trifásico (M) por meio de um transformador trifásico (T). O quadro que se segue mostra algumas características desses equipamentos.

Em certo momento, o motor aciona uma carga mecânica que solicita 900 HP à velocidade de 1.728 rpm e é alimentado com tensão nominal, situação em que opera com fator de potência igual a 0,746 e rendimento igual a 80%.
Com base nessa situação, julgue os itens a seguir.
No ponto de operação indicado, o gerador apresenta regulação de tensão positiva.
Provas
- Transformadores e Máquinas ElétricasPrincípios BásicosPerdas, rendimento, torque, potência, ângulo de potência e funcionamento geral

A figura acima ilustra um gerador síncrono trifásico (G) que alimenta um motor de indução trifásico (M) por meio de um transformador trifásico (T). O quadro que se segue mostra algumas características desses equipamentos.

Em certo momento, o motor aciona uma carga mecânica que solicita 900 HP à velocidade de 1.728 rpm e é alimentado com tensão nominal, situação em que opera com fator de potência igual a 0,746 e rendimento igual a 80%.
Com base nessa situação, julgue os itens a seguir.
No ponto de operação indicado, o transformador opera sem sobrecarga.
Provas
- Transformadores e Máquinas ElétricasPrincípios BásicosPerdas, rendimento, torque, potência, ângulo de potência e funcionamento geral

A figura acima ilustra um gerador síncrono trifásico (G) que alimenta um motor de indução trifásico (M) por meio de um transformador trifásico (T). O quadro que se segue mostra algumas características desses equipamentos.

Em certo momento, o motor aciona uma carga mecânica que solicita 900 HP à velocidade de 1.728 rpm e é alimentado com tensão nominal, situação em que opera com fator de potência igual a 0,746 e rendimento igual a 80%.
Com base nessa situação, julgue os itens a seguir.
A corrente de partida do motor é superior a 1.000 A.
Provas
Caderno Container