Foram encontradas 120 questões.
Um jovem, ao ser flagrado no aeroporto portando certa quantidade de entorpecentes, argumentou com os policiais conforme o esquema a seguir:
Premissa 1: Eu não sou traficante, eu sou usuário;
Premissa 2: Se eu fosse traficante, estaria levando uma grande quantidade de droga e a teria escondido;
Premissa 3: Como sou usuário e não levo uma grande quantidade, não escondi a droga.
Conclusão: Se eu estivesse levando uma grande quantidade, não seria usuário.
Considerando a situação hipotética apresentada acima, julgue o item a seguir.
Sob o ponto de vista lógico, a argumentação do jovem constitui argumentação válida.
Provas
Outro agente empregado na identificação de impressões digitais é o nitrato de prata. Uma solução aquosa desse produto é borrifada na superfície do material. O nitrato de prata, então, reage com o cloreto de sódio deixado pela transpiração da pele na superfície, conforme a equação:


O volume molar do vapor de iodo a 309 K é superior a 8,0 m3.mol-1.
Provas
Em uma página da Polícia Federal, na Internet, é possível denunciar crimes contra os direitos humanos. Esses crimes incluem o tráfico de pessoas − aliciamento de homens, mulheres e crianças para exploração sexual − e a pornografia infantil − envolvimento de menores de 18 anos de idade em atividades sexuais explícitas, reais ou simuladas, ou exibição dos órgãos genitais do menor para fins sexuais.
Com referência a essa situação hipotética e considerando que, após a análise de 100 denúncias, tenha-se constatado que 30 delas se enquadravam como tráfico de pessoas e como pornografia infantil; outras 30 não se enquadravam em nenhum desses dois crimes e que, em relação a 60 dessas denúncias, havia apenas a certeza de que se tratava de pornografia infantil, julgue o item subsequente,
acerca dessas 100 denúncias analisadas.
Dez denúncias foram classificadas apenas como crime de tráfico de pessoas.
Provas
A partir da situação hipotética acima apresentada, julgue o item a seguir.
Na ausência dos ossos da bacia, a identificação do indivíduo do sexo feminino poderá ser feita comparando-se os ossos do crânio.
Provas
Imagine que um poder absoluto ou um texto sagrado declarem que quem roubar ou assaltar será enforcado (ou terá a mão cortada). Nesse caso, puxar a corda, afiar a faca ou assistir à execução seria simples, pois a responsabilidade moral do veredicto não estaria conosco. Nas sociedades tradicionais, em que a punição é decidida por uma autoridade superior a todos, as execuções podem ser públicas: a coletividade festeja o soberano que se encarregou da justiça − que alívio!
A coisa é mais complicada na modernidade, em que os cidadãos comuns (como você e eu) são a fonte de toda autoridade jurídica e moral. Hoje, no mundo ocidental, se alguém é executado, o braço que mata é, em última instância, o dos cidadãos − o nosso. Mesmo que o condenado seja indiscutivelmente culpado, pairam mil dúvidas. Matar um condenado à morte não é mais uma festa, pois é difícil celebrar o triunfo de uma moral tecida de perplexidade. As execuções acontecem em lugares fechados, diante de poucas testemunhas: há uma espécie de vergonha. Essa discrição é apresentada como um progresso: os povos civilizados não executam seus condenados nas praças. Mas o dito progresso é, de fato, um corolário da incerteza ética de nossa cultura.
Reprimimos em nós desejos e fantasias que nos parecem ameaçar o convívio social. Logo, frustrados, zelamos pela prisão daqueles que não se impõem as mesmas renúncias. Mas a coisa muda quando a pena é radical, pois há o risco de que a morte do culpado sirva para nos dar a ilusão de liquidar, com ela, o que há de pior em nós. Nesse caso, a execução do condenado é usada para limpar nossa alma. Em geral, a justiça sumária é isto: uma pressa em suprimir desejos inconfessáveis de quem faz justiça. Como psicanalista, apenas gostaria que a morte dos culpados não servisse para exorcizar nossas piores fantasias − isso, sobretudo, porque o exorcismo seria ilusório. Contudo é possível que haja crimes hediondos nos quais não reconhecemos nada de nossos desejos reprimidos.
Contardo Calligaris. Terra de ninguém − 101 crônicas. São Paulo: Publifolha, 2004, p. 94-6 (com adaptações).
Com referência às ideias e aos aspectos linguísticos do texto acima, julgue o item.
No período "Nesse caso (...) estaria conosco", como o conector "ou" está empregado com sentido aditivo, e não, de exclusão, a forma verbal do predicado “seria simples” poderia, conforme faculta a prescrição gramatical, ter sido flexionada na terceira pessoa do plural: seriam.
Provas
Com base na figura e nas informações apresentadas, julgue o item seguinte.
A velocidade máxima do átomo de hidrogênio !$ - v_{max} - !$ é tal que !$ v_{max} = A \sqrt {k \over m_H} . !$
Provas
Romance LXXXI ou Dos Ilustres Assassinos
Ó grandes oportunistas,
sobre o papel debruçados,
que calculais mundo e vida
em contos, doblas, cruzados,
que traçais vastas rubricas
e sinais entrelaçados,
com altas penas esguias
embebidas em pecados!
Ó personagens solenes
que arrastais os apelidos
como pavões auriverdes
seus rutilantes vestidos,
− todo esse poder que tendes
confunde os vossos sentidos:
a glória, que amais, é desses
que por vós são perseguidos.
Levantai-vos dessas mesas,
saí de vossas molduras,
vede que masmorras negras,
que fortalezas seguras,
que duro peso de algemas,
que profundas sepulturas
nascidas de vossas penas,
de vossas assinaturas!
Considerai no mistério
dos humanos desatinos,
e no polo sempre incerto
dos homens e dos destinos!
Por sentenças, por decretos,
pareceríeis divinos:
e hoje sois, no tempo eterno,
como ilustres assassinos.
Ó soberbos titulares,
tão desdenhosos e altivos!
Por fictícia autoridade,
vãs razões, falsos motivos,
inutilmente matastes:
− vossos mortos são mais vivos;
e, sobre vós, de longe, abrem
grandes olhos pensativos.
Cecília Meireles. Romanceiro da Inconfidência. Rio de Janeiro: Nova Fronteira, 1989, p. 267-8.
Com base no poema acima, julgue o item subsequente.
Considerando-se as relações entre os termos da oração, verifica-se ambiguidade no emprego do adjetivo "pensativos" (v. 40), visto que ele pode referir-se tanto ao termo "vossos mortos" (v.38) quanto ao núcleo nominal "olhos" (v.40).
Provas
Com base no direito processual penal, julgue o item que se segue.
De acordo com inovações na legislação específica, a perícia deverá ser realizada por apenas um perito oficial, portador de diploma de curso superior; contudo, caso não haja, na localidade, perito oficial, o exame poderá ser realizado por duas pessoas idôneas, portadoras de diploma de curso superior, preferencialmente na área específica. Nessa última hipótese, serão facultadas a participação das partes, com a formulação de quesitos, e a indicação de assistente técnico, que poderá apresentar pareceres, durante a investigação policial, em prazo máximo a ser fixado pela autoridade policial.
Provas
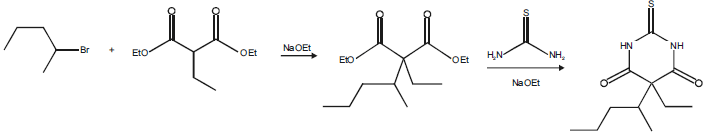
Considerando-se a reação ilustrada abaixo, correspondente à síntese do tiopental, em que "Et" refere-se ao grupo etil, é correto concluir que a síntese dessa molécula se inicia com uma alquilação em uma molécula pertencente ao grupo éster.

Provas
Romance LXXXI ou Dos Ilustres Assassinos
Ó grandes oportunistas,
sobre o papel debruçados,
que calculais mundo e vida
em contos, doblas, cruzados,
que traçais vastas rubricas
e sinais entrelaçados,
com altas penas esguias
embebidas em pecados!
Ó personagens solenes
que arrastais os apelidos
como pavões auriverdes
seus rutilantes vestidos,
− todo esse poder que tendes
confunde os vossos sentidos:
a glória, que amais, é desses
que por vós são perseguidos.
Levantai-vos dessas mesas,
saí de vossas molduras,
vede que masmorras negras,
que fortalezas seguras,
que duro peso de algemas,
que profundas sepulturas
nascidas de vossas penas,
de vossas assinaturas!
Considerai no mistério
dos humanos desatinos,
e no polo sempre incerto
dos homens e dos destinos!
Por sentenças, por decretos,
pareceríeis divinos:
e hoje sois, no tempo eterno,
como ilustres assassinos.
Ó soberbos titulares,
tão desdenhosos e altivos!
Por fictícia autoridade,
vãs razões, falsos motivos,
inutilmente matastes:
− vossos mortos são mais vivos;
e, sobre vós, de longe, abrem
grandes olhos pensativos.
Cecília Meireles. Romanceiro da Inconfidência. Rio de Janeiro: Nova Fronteira, 1989, p. 267-8.
Com base no poema acima, julgue o item subsequente.
Os trechos "Por sentenças, por decretos" (v.29) e "Por fictícia autoridade, vãs razões, falsos motivos" (v.35-36) exercem função adverbial nas orações a que pertencem e ambos denotam o meio empregado na ação representada pelo verbo a que se referem.
Provas
Caderno Container