Foram encontradas 1.035 questões.
1045978
Ano: 2013
Disciplina: Engenharia de Telecomunicações
Banca: CESPE / CEBRASPE
Orgão: PF
Disciplina: Engenharia de Telecomunicações
Banca: CESPE / CEBRASPE
Orgão: PF
Provas:
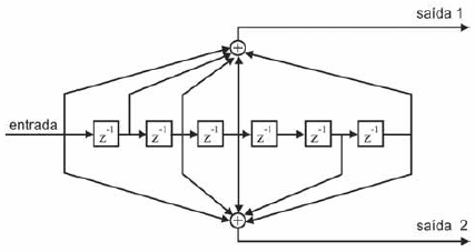
Sistemas de comunicação modernos utilizam, cada vez mais, técnicas de transmissão digital, incluindo códigos corretores de erro e codificação de linha ou modulação digital. A respeito desse assunto, julgue o item que se segue.
O código convolucional executado pelo codificador mostrado na figura abaixo, em que z-1 é um atraso discreto no tempo, tem taxa R = 1/2 e pode ser representado por uma treliça de 128 estados.

Provas
Questão presente nas seguintes provas
Julgue o seguinte item, relativo a antenas e propagação.
O diagrama de radiação mostrado abaixo se refere a uma antena isotrópica.

Provas
Questão presente nas seguintes provas
A obtenção e o processamento computacional de dados geográficos de recursos naturais renováveis e não renováveis, bem como a sua aplicação em propriedades rurais, florestais, áreas urbanas e em redes de concessionárias de água, energia e telefone, são fundamentais para análise de dados e realização de estudos em prol da preservação do meio ambiente. No que concerne a esse assunto, julgue o item subsequente.
Os SIGs inserem e integram em uma única base de dados informações espaciais provenientes de diversas origens, como meio físico-biótico, dados censitários, cadastros urbano e rural, e fontes de dados, como imagens de satélite, redes e modelos numéricos de terreno.
Provas
Questão presente nas seguintes provas
A obtenção e o processamento computacional de dados geográficos de recursos naturais renováveis e não renováveis, bem como a sua aplicação em propriedades rurais, florestais, áreas urbanas e em redes de concessionárias de água, energia e telefone, são fundamentais para análise de dados e realização de estudos em prol da preservação do meio ambiente. No que concerne a esse assunto, julgue o item subsequente.
O sistema geocêntrico terrestre é um sistema cartesiano bidimensional com origem no centro da Terra, um eixo coincidente com o eixo de rotação da Terra e outro jacente no plano do equador, amarrado ao meridiano de Greenwich.
Provas
Questão presente nas seguintes provas
A obtenção e o processamento computacional de dados geográficos de recursos naturais renováveis e não renováveis, bem como a sua aplicação em propriedades rurais, florestais, áreas urbanas e em redes de concessionárias de água, energia e telefone, são fundamentais para análise de dados e realização de estudos em prol da preservação do meio ambiente. No que concerne a esse assunto, julgue o item subsequente.
O uso de penetrômetros hidráulicos em veículos dotados de sistema de posicionamento global (GPS) possibilita a criação de mapas de compactação do solo, mas impede a regulagem automática do implemento de descompactação para que se trabalhe na profundidade que deve ser descompactada.
Provas
Questão presente nas seguintes provas
A obtenção e o processamento computacional de dados geográficos de recursos naturais renováveis e não renováveis, bem como a sua aplicação em propriedades rurais, florestais, áreas urbanas e em redes de concessionárias de água, energia e telefone, são fundamentais para análise de dados e realização de estudos em prol da preservação do meio ambiente. No que concerne a esse assunto, julgue o item subsequente.
A tecnologia de geoprocessamento fundamenta-se no pensamento lógico-matemático de sistemas de informação, sendo que, para ser representada em ambiente computacional, cada tipo de informação geográfica deve ser associado a uma escala de medida e de referência, que será utilizada pelo GIS (geographical information system) para caracterizá-lo.
Provas
Questão presente nas seguintes provas
A obtenção e o processamento computacional de dados geográficos de recursos naturais renováveis e não renováveis, bem como a sua aplicação em propriedades rurais, florestais, áreas urbanas e em redes de concessionárias de água, energia e telefone, são fundamentais para análise de dados e realização de estudos em prol da preservação do meio ambiente. No que concerne a esse assunto, julgue o item subsequente.
O geoprocessamento, que possui como principal ferramenta o GIS (geographical information system), envolve um conjunto de tecnologias de coleta, tratamento, manipulação e apresentação de informações espaciais.
Provas
Questão presente nas seguintes provas
A obtenção e o processamento computacional de dados geográficos de recursos naturais renováveis e não renováveis, bem como a sua aplicação em propriedades rurais, florestais, áreas urbanas e em redes de concessionárias de água, energia e telefone, são fundamentais para análise de dados e realização de estudos em prol da preservação do meio ambiente. No que concerne a esse assunto, julgue o item subsequente.
Com a finalidade de resolver o problema do número excessivo de pontos resultantes da conversão de dados gráficos para o formato digital, uma das alternativas mais utilizadas pelos SIGs é o método de Douglas-Peucker, segundo o qual, se nenhum ponto da linha estiver mais afastado do que certa distância vertical ao segmento de reta que liga os extremos da linha, esse segmento de reta é suficiente para representar a linha.
Provas
Questão presente nas seguintes provas
Apesar de apresentar biodiversidade e peculiaridades próprias, os biomas brasileiros convivem com ameaças constantes, como o desmatamento e as queimadas. Dentro desse contexto, o uso do zoneamento ambiental é fundamental para a elaboração de programas eficientes de gestão florestal. Acerca da gestão florestal, da caracterização dos biomas brasileiros e do zoneamento ambiental, julgue o item a seguir.
Para fins de proteção, conservação e recuperação dos recursos naturais e do desenvolvimento sustentável, o zoneamento ecológico-econômico dividirá o território em zonas, devendo ser considerado para tanto, o diagnóstico dos recursos naturais, da socioeconomia e do marco jurídico institucional; as informações constantes do sistema de informações geográficas (SIG) e os cenários tendenciais e alternativos.
Provas
Questão presente nas seguintes provas
1045964
Ano: 2013
Disciplina: Engenharia Ambiental e Sanitária
Banca: CESPE / CEBRASPE
Orgão: PF
Disciplina: Engenharia Ambiental e Sanitária
Banca: CESPE / CEBRASPE
Orgão: PF
Provas:
A respeito de cartografia, julgue o item a seguir.
A variável visual valor refere-se à claridade ou à escuridão de um sinal, considerando desde preto até o branco, como, por exemplo, as imagens de satélites, que apresentam variações em torno de cinza entre zero e 255.
Provas
Questão presente nas seguintes provas
Cadernos
Caderno Container