Foram encontradas 1.230 questões.

A figura precedente mostra o fluido cérebro-espinhal de um paciente com infecção bacteriana. Considerando essa informação e os múltiplos aspectos a ela relacionados, julgue o item a seguir.
O resultado positivo para a presença de bactéria gram-positiva nesse fluido significa que a bactéria possui uma camada fina de peptidoglicano e uma membrana externa com lipopolissacarídeo, fosfolipídios e proteínas.
Provas
Questão presente nas seguintes provas

A figura precedente mostra o fluido cérebro-espinhal de um paciente com infecção bacteriana. Considerando essa informação e os múltiplos aspectos a ela relacionados, julgue o item a seguir.
Antraz, doença que já foi explorada como arma biológica, é causada por uma bactéria que apresenta a forma do microrganismo mostrado na figura.
Provas
Questão presente nas seguintes provas

A figura precedente mostra o fluido cérebro-espinhal de um paciente com infecção bacteriana. Considerando essa informação e os múltiplos aspectos a ela relacionados, julgue o item a seguir.
Considerando-se a forma da bactéria e o fato de ela estar presente no fluido cérebro-espinhal, deve-se realizar prova de Gram nessa amostra para a confirmação da infecção por Neisseria meningitidis.
Provas
Questão presente nas seguintes provas

A figura precedente mostra o fluido cérebro-espinhal de um paciente com infecção bacteriana. Considerando essa informação e os múltiplos aspectos a ela relacionados, julgue o item a seguir.
Bactérias que têm a mesma forma das apresentadas nessa figura podem ser transmitidas por inalação, ingestão ou por via cutânea.
Provas
Questão presente nas seguintes provas

A figura precedente mostra o fluido cérebro-espinhal de um paciente com infecção bacteriana. Considerando essa informação e os múltiplos aspectos a ela relacionados, julgue o item a seguir.
De acordo com a figura, o fluido cérebro-espinhal desse paciente contém acúmulo de células imunológicas mononucleares.
Provas
Questão presente nas seguintes provas

A figura precedente mostra o fluido cérebro-espinhal de um paciente com infecção bacteriana. Considerando essa informação e os múltiplos aspectos a ela relacionados, julgue o item a seguir.
A figura mostra que o paciente possui infecção por bactérias espirilos.
Provas
Questão presente nas seguintes provas
733486
Ano: 2018
Disciplina: TI - Desenvolvimento de Sistemas
Banca: CESPE / CEBRASPE
Orgão: PF
Disciplina: TI - Desenvolvimento de Sistemas
Banca: CESPE / CEBRASPE
Orgão: PF
Provas:

Considerando a terminologia e os conceitos básicos de grafos, julgue o item a seguir, relativo ao grafo precedente.
O grafo em questão tem diâmetro igual a quatro.
Provas
Questão presente nas seguintes provas

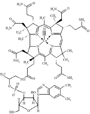
Com base na figura anterior, que ilustra a estrutura da vitamina B12, julgue o próximo item.
A vitamina B12 é um complexo metálico pentacoordenado.
Provas
Questão presente nas seguintes provas
No que se refere a enzimas e termodinâmica química, julgue o item que se segue.
Se, em um ciclo metabólico, o fluxo de energia estiver corretamente descrito pelo ciclo termodinâmico representado a seguir, então, a quantidade de calor liberada por um organismo que completa um ciclo exatamente, retornando ao seu estado inicial, é diferente da quantidade de calor absorvida.

Provas
Questão presente nas seguintes provas
Texto 11A2AAA
No organismo humano, os termogênicos favorecem a liberação de calor por meio da aceleração do metabolismo. Entre os componentes comumente presentes em suplementos alimentares termogênicos inclui-se a cafeína, cuja estrutura molecular está representada a seguir.

A cafeína é um alcaloide, solúvel em água (22 g/L) e em clorofórmio (130 g/L), com pKa igual a 10,4 (www.drugbank.ca/drugs/DB00201). Os grupos orgânicos nitrogenados presentes nessa molécula são derivados da amônia. A cafeína pura apresenta bandas de absorção características em espectros obtidos na região do infravermelho, sendo a banda mais proeminente a da ligação C=O, que ocorre entre 1.709 cm-1 e 1.654 cm-1.
Na lipogênese, acontece a formação de triglicerídeos, conforme o esquema apresentado na figura a seguir, em que R1, R2 e R3 representam grupos carboxilatos.

Tendo como referência essas informações e o texto 11A2AAA, apresentado anteriormente, julgue o item subsecutivo.
Se a reação na lipogênese estiver em equilíbrio, as taxas (velocidade) da reação de formação e de hidrólise do triglicerídeo (espécie C da reação) são iguais a zero.
Provas
Questão presente nas seguintes provas
Cadernos
Caderno Container