Foram encontradas 1.033 questões.
Provas
Provas
Provas

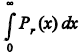
Na figura precedente, Pr(x) representa a densidade
radial de probabilidade para o átomo de hidrogênio em seu
estado fundamental, sendo x a razão entre a distância r
do elétron ao núcleo e rB, raio de Bohr desse átomo, ou seja,
, em que x = r/rB. O gráfico de I(P), definido
por
, é representado na
figura pela linha pontilhada.
Considerando essas informações, assinale a opção correta
Provas
, sendo n um inteiro positivo, é igual aProvas
Texto 11A5AAA

A figura precedente representa um processo de espalhamento Compton em que um fóton incidente de comprimento de onda λi colide com um elétron em repouso e ambos são espalhados. O ângulo de espalhamento do elétron é ⌽ em relação à horizontal. O fóton é espalhado com comprimento de onda λf e faz um ângulo θ em relação à direção horizontal.
A diferença entre o comprimento de onda espalhado e o incidente é dada pela expressão
em que h é a constante de Planck, me é a massa do elétron em repouso e
é o comprimento de onda de Compton para o elétron.
Provas
Texto 11A5AAA

A figura precedente representa um processo de espalhamento Compton em que um fóton incidente de comprimento de onda λi colide com um elétron em repouso e ambos são espalhados. O ângulo de espalhamento do elétron é ⌽ em relação à horizontal. O fóton é espalhado com comprimento de onda λf e faz um ângulo θ em relação à direção horizontal.
A diferença entre o comprimento de onda espalhado e o incidente é dada pela expressão
em que h é a constante de Planck, me é a massa do elétron em repouso e
é o comprimento de onda de Compton para o elétron.
Provas
Texto 11A5AAA

A figura precedente representa um processo de espalhamento Compton em que um fóton incidente de comprimento de onda λi colide com um elétron em repouso e ambos são espalhados. O ângulo de espalhamento do elétron é ⌽ em relação à horizontal. O fóton é espalhado com comprimento de onda λf e faz um ângulo θ em relação à direção horizontal.
A diferença entre o comprimento de onda espalhado e o incidente é dada pela expressão
em que h é a constante de Planck, me é a massa do elétron em repouso e
é o comprimento de onda de Compton para o elétron.
Com base no texto 11A5AAA, assinale a opção que apresenta corretamente a hipótese corpuscular da radiação incidente.
Provas

Essas figuras mostram dois filtros polarizadores ideais através dos quais um feixe de luz solar não-polarizada se propaga com intensidade I0. Com base nessas informações e na direção de polarização da luz em cada filtro, conforme apresentado nas figuras, assinale a opção correta.
Provas

Um motorista trafegava, em direção norte, por uma avenida localizada a 1 km de distância de uma reta em que havia duas antenas de rádio, distantes 300 m uma da outra, conforme apresentado na figura. Ambas as antenas transmitiam sinais idênticos na mesma frequência. Quando alcançou a posição y = 200 m, o motorista percebeu o primeiro máximo de interferência dos sinais.
Com relação à figura e às informações apresentadas nessa situação hipotética, assinale a opção correta.
Provas
Caderno Container