Foram encontradas 80 questões.
As ciências térmicas fazem uso dos modelos laboratoriais para realização de projetos de engenharia. Com o
levantamento de dados adimensionais coletados nesses ensaios, é possível obter uma boa expectativa do
comportamento do sistema a ser projetado e, assim, fazer o dimensionamento adequado.
A coluna da esquerda apresenta os números adimensionais aplicados em processos de transferência de calor e de escoamento de fluidos e a da direita, sua característica ou aplicação em virtude do fenômeno físico. Numere a coluna da direita de acordo com a da esquerda.
1- Número de Prandtl
2- Coeficiente de resistência de Darcy-Weisbach
3- Número de Biot
4- Número de Rayleigh
( ) Oferece o regime de escoamento da convecção natural, pois representa a relação entre as forças de campo de empuxo com as forças viscosas.
( ) Faz uma relação entre a transferência de calor por condução do corpo imerso em um fluido e a transferência de calor convectiva na superfície desse corpo.
( ) É a razão da taxa de difusão viscosa pela taxa de difusão térmica.
( ) Parâmetro aplicado para determinação de perda de carga e depende do número de Reynolds e da rugosidade relativa.
Marque a sequência correta.
A coluna da esquerda apresenta os números adimensionais aplicados em processos de transferência de calor e de escoamento de fluidos e a da direita, sua característica ou aplicação em virtude do fenômeno físico. Numere a coluna da direita de acordo com a da esquerda.
1- Número de Prandtl
2- Coeficiente de resistência de Darcy-Weisbach
3- Número de Biot
4- Número de Rayleigh
( ) Oferece o regime de escoamento da convecção natural, pois representa a relação entre as forças de campo de empuxo com as forças viscosas.
( ) Faz uma relação entre a transferência de calor por condução do corpo imerso em um fluido e a transferência de calor convectiva na superfície desse corpo.
( ) É a razão da taxa de difusão viscosa pela taxa de difusão térmica.
( ) Parâmetro aplicado para determinação de perda de carga e depende do número de Reynolds e da rugosidade relativa.
Marque a sequência correta.
Provas
Questão presente nas seguintes provas
A seguir é apresentado um desenho de conjunto.
Fonte: Mastro, E. D., 2008, "Desenho Técnico Mecânico"
Assinale o elemento de máquina que NÃO é representado nesse desenho.
Fonte: Mastro, E. D., 2008, "Desenho Técnico Mecânico"
Assinale o elemento de máquina que NÃO é representado nesse desenho.
Provas
Questão presente nas seguintes provas
Psicrometria é o estudo das misturas de ar e vapor de água, muito importante em aplicação de processos
industriais e condicionamento de ambientes. Sobre esse tema, analise as afirmativas.
I- Umidade relativa corresponde à massa de água contida em 1 (um) quilograma de ar seco.
II- Umidade absoluta é a razão entre a fração molar do vapor de água no ar úmido e a fração do vapor de água no ar saturado à mesma temperatura à pressão total.
III- Temperatura de orvalho corresponde à temperatura de saturação do vapor referente à umidade relativa e à pressão ambiente registrada.
IV- Em ambientes com baixa umidade relativa, a temperatura de bulbo úmido assume valores acima da temperatura de bulbo seco.
Está correto o que se afirma em
I- Umidade relativa corresponde à massa de água contida em 1 (um) quilograma de ar seco.
II- Umidade absoluta é a razão entre a fração molar do vapor de água no ar úmido e a fração do vapor de água no ar saturado à mesma temperatura à pressão total.
III- Temperatura de orvalho corresponde à temperatura de saturação do vapor referente à umidade relativa e à pressão ambiente registrada.
IV- Em ambientes com baixa umidade relativa, a temperatura de bulbo úmido assume valores acima da temperatura de bulbo seco.
Está correto o que se afirma em
Provas
Questão presente nas seguintes provas
Um veículo trafega por uma via plana com velocidade constante de 72 km/h. Em certo momento, o
motorista acionou os freios desse veículo com o travamento de rotação imediato de todas as rodas.
Dados:
• coeficiente de atrito cinético: 0,7;
• coeficiente de atrito estático: 0,9;
• aceleração da gravidade: 10 m/s²;
• desconsiderar a resistência ao rolamento;
• desconsiderar o arraste aerodinâmico.
Qual a extensão da marca de frenagem na pista de qualquer um dos pneus?
Dados:
• coeficiente de atrito cinético: 0,7;
• coeficiente de atrito estático: 0,9;
• aceleração da gravidade: 10 m/s²;
• desconsiderar a resistência ao rolamento;
• desconsiderar o arraste aerodinâmico.
Qual a extensão da marca de frenagem na pista de qualquer um dos pneus?
Provas
Questão presente nas seguintes provas
Sobre a Norma Regulamentadora N.º 13 (NR-13), assinale a afirmativa correta.
Provas
Questão presente nas seguintes provas
A coluna da esquerda apresenta exemplos típicos de ruptura em materiais metálicos e a da direita, a causa ou
característica desse rompimento. Numere a coluna da direita de acordo com a da esquerda.
Marque a sequência correta.
Marque a sequência correta.
Provas
Questão presente nas seguintes provas
Um guindaste efetua o içamento de carga por meio de cabos de aço. Foi registrada a ocorrência de queda
acidental de carga durante a pausa da movimentação. Na análise do acidente, foi constatado que apenas o
eixo do carretel do cabo de aço foi rompido. Além disso, foi constatado que esse eixo na região da ruptura
não é submetido a qualquer momento fletor ou força cortante.
Dados:
• Tensão admissível do material do eixo: 210 MPa;
• diâmetro do eixo, d: 40 mm;
• tensão de cisalhamento atuante é dada pela equação: 16.T/(π.d³), onde T é o momento torçor;
• admitir valor de π igual a 22/7.
Assinale o torque máximo que poderia ser submetido esse eixo, considerando que o fator de segurança de projeto é igual a 2 e o fator de concentração de tensão pode ser considerado igual a 1.
Dados:
• Tensão admissível do material do eixo: 210 MPa;
• diâmetro do eixo, d: 40 mm;
• tensão de cisalhamento atuante é dada pela equação: 16.T/(π.d³), onde T é o momento torçor;
• admitir valor de π igual a 22/7.
Assinale o torque máximo que poderia ser submetido esse eixo, considerando que o fator de segurança de projeto é igual a 2 e o fator de concentração de tensão pode ser considerado igual a 1.
Provas
Questão presente nas seguintes provas
Um incêndio iniciou em recinto com uma grande quantidade de papel, sendo este o único elemento
combustível desse ambiente. Na parte superior do recinto, há um reservatório de água com capacidade de
1000 litros. É sabido que, no momento do incêndio, não houve abastecimento de água e também não ocorreu
consumo ou vazamento de água. Pela investigação levantada, foi admitido que o recinto estava isolado com
paredes de comportamento adiabático. Também é assumida a hipótese que todas as outras coisas, incluindo
o papel e a parede desse recinto, com a exceção da água que estava contida nesse reservatório, possuem
capacidade térmica desprezível. No início do incêndio, o reservatório de água estava cheio, no entanto,
devido à queima total e completa do papel, o incêndio foi extinto, e devido ao calor ocorreu evaporação de
64% da água existente no reservatório. Adicionalmente é admitido que a água, após entrar no estado de
vapor, logo se exauria do recinto.
Considerar:
• entalpia de vaporização da água: 2250 kJ/kg
• entalpia da água líquida na temperatura ambiente: 100 kJ/kg
• entalpia da água líquida saturada: 420 kJ/kg
• admitir a energia interna da água líquida aproximadamente igual a sua entalpia
• poder calorífico inferior do papel: 16000 kJ/kg
• densidade da água líquida: 1000 kg/m³
Assinale a quantidade de papel queimado que continha esse recinto.
Considerar:
• entalpia de vaporização da água: 2250 kJ/kg
• entalpia da água líquida na temperatura ambiente: 100 kJ/kg
• entalpia da água líquida saturada: 420 kJ/kg
• admitir a energia interna da água líquida aproximadamente igual a sua entalpia
• poder calorífico inferior do papel: 16000 kJ/kg
• densidade da água líquida: 1000 kg/m³
Assinale a quantidade de papel queimado que continha esse recinto.
Provas
Questão presente nas seguintes provas
Uma placa está sobre uma plataforma plana e horizontal, conforme visto na figura.
Entre a placa e a superfície da plataforma existe um filme de óleo viscoso com uma espessura regular e
constante de 1 mm.
Uma lata de areia está ligada à placa por um único fio flexível e inextensível. Foi verificado que este balde desce sob a ação da gravidade a uma velocidade constante de 0,02 m/s.
Dados:
• área da superfície da placa: 6 m²;
• viscosidade dinâmica constante do óleo, μ: 4 N.s/m²;
• densidade da areia: 1600 kg/m³;
• aceleração da gravidade, g: 10 m/s²;
• peso do balde é desprezível;
• considerar a polia livre de atrito;
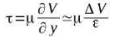
• tensão de cisalhamento:
onde, ε é a espessura do filme e ΔV é a diferença de velocidade a uma distância de superfícies.
Qual a quantidade de areia no balde?
Uma lata de areia está ligada à placa por um único fio flexível e inextensível. Foi verificado que este balde desce sob a ação da gravidade a uma velocidade constante de 0,02 m/s.
Dados:
• área da superfície da placa: 6 m²;
• viscosidade dinâmica constante do óleo, μ: 4 N.s/m²;
• densidade da areia: 1600 kg/m³;
• aceleração da gravidade, g: 10 m/s²;
• peso do balde é desprezível;
• considerar a polia livre de atrito;
• tensão de cisalhamento:
onde, ε é a espessura do filme e ΔV é a diferença de velocidade a uma distância de superfícies.
Qual a quantidade de areia no balde?
Provas
Questão presente nas seguintes provas
Leia o texto.
“Finalmente há um imperativo que, sem pôr no fundamento como condição qualquer outro objetivo a ser alcançado mediante uma certa conduta, ordena imediatamente essa conduta. Este imperativo é categórico. Ele não diz respeito à matéria da ação e ao que deve seguir-se dela, mas à forma e ao princípio do qual ela mesma decorre, e o essencialmente bom da ação consiste na disposição, seja qual for seu resultado. Este imperativo pode chamar-se de imperativo da moralidade”.
(KANT, I. Fundamentação da metafísica dos costumes. In: MARCONDES, D. Textos básicos de filosofia. 2 ed. Rio de Janeiro: Jorge Zahar, 2000)
De acordo com o trecho e as características da ética kantiana, é correto afirmar:
“Finalmente há um imperativo que, sem pôr no fundamento como condição qualquer outro objetivo a ser alcançado mediante uma certa conduta, ordena imediatamente essa conduta. Este imperativo é categórico. Ele não diz respeito à matéria da ação e ao que deve seguir-se dela, mas à forma e ao princípio do qual ela mesma decorre, e o essencialmente bom da ação consiste na disposição, seja qual for seu resultado. Este imperativo pode chamar-se de imperativo da moralidade”.
(KANT, I. Fundamentação da metafísica dos costumes. In: MARCONDES, D. Textos básicos de filosofia. 2 ed. Rio de Janeiro: Jorge Zahar, 2000)
De acordo com o trecho e as características da ética kantiana, é correto afirmar:
Provas
Questão presente nas seguintes provas
Cadernos
Caderno Container