Foram encontradas 30 questões.
Disciplina: Raciocínio Lógico
Banca: GSA Concursos
Orgão: Pref. Abelardo Luz-SC
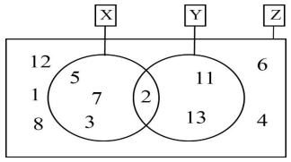
Observe o diagrama que representa os conjuntos X, Y, e Z

Dadas as afirmações julgue como verdadeira V ou falsa F
I) 3 ∈ X III) Y ¢ Z
II) 8 ∉ Y IV) {3,5} ⊂ X
Qual a sequência que representa as afirmações acima:
Provas
Disciplina: Raciocínio Lógico
Banca: GSA Concursos
Orgão: Pref. Abelardo Luz-SC
Provas
A professora Marta passou no quadro as seguintes operações matemáticas:
I) 72 ÷ 8 ÷ (3 x 1) + 2
II) 76 - 2 x [100 ÷ (3 x 6 - 8) + 10]
III) 9 x (10 + 2)
Veja na tabela abaixo os resultados obtidos por alguns dos seus alunos

Qual dos seus alunos acertou todas as operações matemáticas:
Provas
A figura abaixo representa três lotes de terreno com frente para a Avenida 7 de setembro e fundos para a rua Brasília. A divisão entre os lotes é perpendicular a rua Brasília. Com base nas informações da figura qual o valor que corresponde ao comprimento x ?

Provas

Com base nestas informações a que altura está apoiada a escada no poste?
Provas
Uma indústria possuí 6 máquinas e produz 2784 peças em 8 horas de trabalho diários. Se essa indústria comprar mais 2 máquinas idênticas às que já tem e passar a trabalhar 10 horas dias de quanto será a produção diária?
Provas
Um campo de futebol tem 84m de comprimento e 58,5 m de largura. Para poder realizar torneios oficiais esse campo deve ser aumentado no mínimo em 16m em seu comprimento e 5,5m em sua largura. Quantos metros quadrados a mais terá o campo com essas novas medidas?
Provas
A soma de dois números distintos é igual a 74. A diferença entre o maior e o menor desses números é igual a 22. Com base nessas informações qual é o maior desses números?
Provas
Provas
Provas
Caderno Container