Foram encontradas 229 questões.
As infecções alimentares são doenças causadas pela ingestão de alimentos contaminados com organismos
patogênicos, como bactérias, vírus ou parasitas que podem acometer crianças, adultos e idosos.
Com relação a estas infecções, assinale a opção INCORRETA.
Com relação a estas infecções, assinale a opção INCORRETA.
Provas
Questão presente nas seguintes provas
Processo comumente relacionado à globalização, pelo qual uma população passa por mudanças no
padrão alimentar, como por exemplo, sair da desnutrição para a obesidade.
[...]
Disponível em:https://docs.bvsalud.org/biblioref/coleciona-sus/2004/28163/28163-380.pdf. acesso em: 11 fev. 2025.
Este conceito refere-se à:
[...]
Disponível em:https://docs.bvsalud.org/biblioref/coleciona-sus/2004/28163/28163-380.pdf. acesso em: 11 fev. 2025.
Este conceito refere-se à:
Provas
Questão presente nas seguintes provas
Avalie os itens a seguir em relação à alimentação complementar e às recomendações nutricionais para
crianças brasileiras com menos de dois anos.
I - A alimentação complementar deve ser oferecida em horários regulares, para a criança se acostumar rapidamente.
II - As papinhas industrializadas de frutas, legumes, cereais, podem fazer parte da alimentação de crianças entre seis meses e dois anos, desde que não apresentem aditivos em sua composição.
III - A partir de seis meses recomenda-se a alimentação complementar, com oferta de quatro refeições de comida ao dia para crianças que estão em aleitamento materno ou aquelas em uso de fórmulas.
Assinale a alternativa CORRETA.
I - A alimentação complementar deve ser oferecida em horários regulares, para a criança se acostumar rapidamente.
II - As papinhas industrializadas de frutas, legumes, cereais, podem fazer parte da alimentação de crianças entre seis meses e dois anos, desde que não apresentem aditivos em sua composição.
III - A partir de seis meses recomenda-se a alimentação complementar, com oferta de quatro refeições de comida ao dia para crianças que estão em aleitamento materno ou aquelas em uso de fórmulas.
Assinale a alternativa CORRETA.
Provas
Questão presente nas seguintes provas
O recordatório alimentar de 24 horas é amplamente utilizado e consiste na obtenção de informações verbais
sobre a ingestão alimentar nas últimas 24 horas. Neste método as informações devem ser detalhadas,
fornecendo a porção dos alimentos e bebidas, horários e locais das refeições, dentre outras informações.
Sobre as vantagens do método, assinale a alternativa INCORRETA.
Sobre as vantagens do método, assinale a alternativa INCORRETA.
Provas
Questão presente nas seguintes provas
Para avaliação antropométrica por meio da medida da circunferência abdominal (CA), a Organização
Mundial da Saúde (OMS) estabelece valores padrões de referência para homens e mulheres, como ponto
de corte indicativo de risco aumentado para complicações metabólicas.
Assinale a alternativa CORRETA.
Assinale a alternativa CORRETA.
Provas
Questão presente nas seguintes provas
Ao avaliar a massa corporal de uma mulher de 58 anos, residente na cidade de Belém do Piauí, observou-se que sua massa corporal usual é de 78 kg (pesada há dois meses) e atualmente ela está com 67,8 kg.
Com base nesse relato hipotético, assinale a alternativa CORRETA.
Com base nesse relato hipotético, assinale a alternativa CORRETA.
Provas
Questão presente nas seguintes provas
Disponível em: https://images.app.goo.gl/HEjNwBMru51rwefD9. Acesso em: 10 fev. 2025.
Náuseas e vômitos durante a gravidez (NVGs) são muito frequentes, podem influenciar significativamente a qualidade de vida da gestante e de sua família, especialmente quando estão presentes de forma persistente e/ou grave, pois contribuem efetivamente no absenteísmo ao trabalho.
Sobre o tratamento dietético das mulheres com NVGs:
I- São recomendadas refeições a cada uma a duas horas e em pequenas quantidades.
II- Devem-se evitar alimentos picantes ou gordurosos, sem pimentas e sem frituras.
III- Preferir comer alimentos secos ou suaves, destacando-se algumas frutas.
IV- Os lanches devem ser hipoproteícos ou sem biscoitos pela manhã ao se levantar.
V- Vegetais (repolho, brócolis, couve-manteiga) complicam o controle dos sintomas.
É correto o que se afirma em
Provas
Questão presente nas seguintes provas
A antropometria é simples, fácil, prática, não invasiva, de custo baixo e com possibilidade de utilização de
equipamentos portáteis e duráveis. As medidas de peso e de estatura são comumente utilizadas para avaliar
o estado nutricional dos indivíduos.
I - O peso corporal isoladamente e o IMC discriminam a composição corporal, a condição hídrica, a distribuição da gordura ou as diferenças na estrutura óssea do indivíduo.
II - Os indicadores antropométricos e de composição corporal podem sofrer interferência da desidratação ou do edema (paciente grave, doença renal, insuficiência cardíaca, por exemplo).
III - Quando não for possível mensurar a estatura de maneira direta, as medidas indiretas são indicadas para pessoas impossibilitadas de ficar em pé (pacientes em coma) ou para aquelas que têm contração significativa da parte superior do corpo, como curvatura espinhal grave.
Está correto o que se afirma
I - O peso corporal isoladamente e o IMC discriminam a composição corporal, a condição hídrica, a distribuição da gordura ou as diferenças na estrutura óssea do indivíduo.
II - Os indicadores antropométricos e de composição corporal podem sofrer interferência da desidratação ou do edema (paciente grave, doença renal, insuficiência cardíaca, por exemplo).
III - Quando não for possível mensurar a estatura de maneira direta, as medidas indiretas são indicadas para pessoas impossibilitadas de ficar em pé (pacientes em coma) ou para aquelas que têm contração significativa da parte superior do corpo, como curvatura espinhal grave.
Está correto o que se afirma
Provas
Questão presente nas seguintes provas
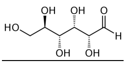
Disponível em: https://www.infoescola.com/bioquimica/glicose. Acesso em: 12 fev. 2025.
A glicose é um monossacarídeo, ou seja, um carboidrato simples que apresenta fórmula molecular C6H12O6, é o substrato preferencial para produção de energia em situações de emergência e vários são os fatores que podem contribuir para um descontrole glicêmico.
Sobre a Terapia nutricional no Diabetes Mellitus (DM), julgue os itens como verdadeiros (V) ou falsos (F).
( ) Durante a hospitalização, a hiperglicemia está associada a resultados adversos, com aumento da morbimortalidade, sendo preferível manter o paciente com hipoglicemia.
( ) Atualmente, é consenso que a manutenção da glicemia dentro da normalidade durante a internação pode contribuir para reduzir complicações e melhorar desfechos, beneficiando tanto pacientes com DM, como não diabéticos com hiperglicemia por estresse metabólico.
( ) Pacientes em uso contínuo de metformina devem ser rastreados para deficiência de vitamina A anualmente e, se apresentarem deficiência dessa vitamina, esta deve ser corrigida.
( ) A literatura recomenda uma meta de glicemia dentro da faixa de 100 mg/dL – 120 mg/ dL para pacientes hospitalizados com ou sem diagnóstico de DM.
Assinale a sequência correta.
Provas
Questão presente nas seguintes provas
Um assistente administrativo utiliza o navegador Google Chrome para acessar sistemas internos e realizar
pesquisas na Internet. Certo dia, ele recebeu um e-mail aparentemente enviado pelo setor de recursos
humanos de sua empresa, informando sobre uma oportunidade interna de promoção. O e-mail incluía
um link para acessar o “formulário de inscrição”. Após clicar no link, o navegador começou a exibir janelas
de pop-up constantemente e a redirecionar a navegação para sites suspeitos. Além disso, um programa
malicioso foi instalado sem autorização, comprometendo o desempenho do computador e capturando
informações sensíveis.
Com base nessa situação hipotética, assinale a opção que apresenta o tipo de ameaça enfrentada e a prática preventiva eficaz para evitar esse problema.
Com base nessa situação hipotética, assinale a opção que apresenta o tipo de ameaça enfrentada e a prática preventiva eficaz para evitar esse problema.
Provas
Questão presente nas seguintes provas
Cadernos
Caderno Container