Magna Concursos

Foram encontradas 600 questões.

3042977 Ano: 2023
Disciplina: Engenharia Química
Banca: FGV
Orgão: Pref. Belo Horizonte-MG
Provas:
Assinale a opção que indica a operação unitária que se refere à separação mecânica entre as fases particulada e fluida, presente em uma determinada suspensão, utilizando-se um meio poroso, que retém a fase particulada e é permeável à fase fluida.
 

Provas

Questão presente nas seguintes provas
3042976 Ano: 2023
Disciplina: Engenharia Química
Banca: FGV
Orgão: Pref. Belo Horizonte-MG
Provas:
As forças intermoleculares são essenciais para a estabilidade das moléculas, inclusive do DNA, e influencia diretamente nas propriedades físico-químicas.
Moléculas como água e amônia apresentam altas temperaturas de ebulição devido à (às)
 

Provas

Questão presente nas seguintes provas
3042975 Ano: 2023
Disciplina: Engenharia Química
Banca: FGV
Orgão: Pref. Belo Horizonte-MG
Provas:
A 1ª Lei da Termodinâmica diz que a energia não pode ser criada ou destruída, mas apenas processos de transformação de energia.
Para um sistema fechado em repouso, isso se resume

dU = dQ + dW,

onde, U é energia interna; Q, calor, e W, trabalho. Outra função termodinâmica é a entalpia, H, que está corretamente definida na opção
 

Provas

Questão presente nas seguintes provas
3042974 Ano: 2023
Disciplina: Engenharia Química
Banca: FGV
Orgão: Pref. Belo Horizonte-MG
Provas:
Um processo politrópico é qualquer processo termodinâmico que pode ser expresso pela equação: PVn = cte, sendo P, pressão; V, volume, e n, índice de politrópico.
Quando n = 1, o processo reversível em gases ideais é denominado
 

Provas

Questão presente nas seguintes provas
3042973 Ano: 2023
Disciplina: Engenharia Química
Banca: FGV
Orgão: Pref. Belo Horizonte-MG
Provas:
O TNT (Trinitrotolueno) é um dos explosivos mais utilizados em aplicações militares e industriais.
Assinale a opção que apresenta sua reação de decomposição com a estequiometria correta.
 

Provas

Questão presente nas seguintes provas
3042972 Ano: 2023
Disciplina: Engenharia Química
Banca: FGV
Orgão: Pref. Belo Horizonte-MG
Provas:
Na produção de etanol, é necessário realizar algumas operações unitárias para aumentar a concentração de etanol e remover a água.
A mistura binária entre a água e o etanol forma
 

Provas

Questão presente nas seguintes provas
3042971 Ano: 2023
Disciplina: Engenharia Química
Banca: FGV
Orgão: Pref. Belo Horizonte-MG
Provas:
A difusividade térmica (α) é a propriedade de transporte que controla um processo de transferência de calor por condução em regime transiente, relacionando a condutividade térmica (k) e a capacidade calorifica volumétrica (ρcp ).
Assinale a opção que indica o material que seria um isolante térmico, baseado nos valores das propriedades citadas, a 300K.
 

Provas

Questão presente nas seguintes provas
3042970 Ano: 2023
Disciplina: Engenharia Química
Banca: FGV
Orgão: Pref. Belo Horizonte-MG
Provas:
A água utilizada em processos industriais requer pureza diferente da alcançada durante o tratamento de água potável. Para isso, processos de desmineralização por resinas de troca iônica ou por osmose inversa podem ser utilizados.
Assinale a opção que associa corretamente o composto químico com o dano nos equipamentos e instalações.
 

Provas

Questão presente nas seguintes provas
3042969 Ano: 2023
Disciplina: Engenharia Química
Banca: FGV
Orgão: Pref. Belo Horizonte-MG
Provas:
A Lei nº 14.133/21, estabelece normas gerais de licitação e contratação para as Administrações Públicas diretas, autárquicas e fundacionais da União, dos Estados, do Distrito Federal e dos Municípios.
Assinale a opção que indica o critério de julgamento para as licitações de obras e serviços de engenharia, na modalidade de concorrência.
 

Provas

Questão presente nas seguintes provas
3042968 Ano: 2023
Disciplina: Engenharia Química
Banca: FGV
Orgão: Pref. Belo Horizonte-MG
Provas:
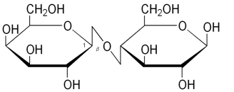
O estado de Minas Gerais é um dos maiores produtores de leite e derivados no Brasil. Na sua composição, além de proteínas e lipídeos, o leite apresenta a lactose como um açúcar importante, e sua estrutura pode ser visto a seguir.


Enunciado 3423931-1



Assinale a opção que indica o grupamento funcional que pode ser identificado na estrutura,
 

Provas

Questão presente nas seguintes provas