Magna Concursos

Foram encontradas 285 questões.

3296082 Ano: 2024
Disciplina: Português
Banca: FUMARC
Orgão: Pref. Betim-MG
Escutatória
Faz muito tempo, nunca me esqueci. Eu ia de ônibus. Atrás, duas mulheres conversavam. Uma delas contava para a amiga os seus sofrimentos. (Contoume uma amiga, nordestina, que o jogo que as mulheres do Nordeste gostam de fazer quando conversam umas com as outras é comparar sofrimentos. Quanto maior o sofrimento, mais bonitas são a mulher e a sua vida. Conversar é a arte de produzir-se literariamente como mulher de sofrimentos. Acho que foi lá que a ópera foi inventada. A alma é uma literatura. É nisso que se baseia a psicanálise...). Voltando ao ônibus. Falavam de sofrimentos. Uma delas contava do marido hospitalizado, dos médicos, dos exames complicados, das injeções na veia — a enfermeira nunca acertava —, dos vômitos e das urinas. Era um relato comovente de dor. Até que o relato chegou ao fim, esperando, evidentemente, o aplauso, a admiração, uma palavra de acolhimento na alma da outra que, supostamente, ouvia. Mas o que a sofredora ouviu foi o seguinte: “Mas isso não é nada...”. A segunda iniciou, então, uma história de sofrimentos incomparavelmente mais terríveis e dignos de uma ópera que os sofrimentos da primeira.
Parafraseio o Alberto Caeiro: “Não é bastante ter ouvidos para se ouvir o que é dito. É preciso também que haja silêncio dentro da alma”. Daí a dificuldade: a gente não aguenta ouvir o que o outro diz sem logo dar um palpite melhor, sem misturar o que ele diz com aquilo que a gente tem a dizer. Como se aquilo que ele diz não fosse digno de descansada consideração e precisasse ser complementado por aquilo que a gente tem a dizer, que é muito melhor. No fundo somos todos iguais às duas mulheres do ônibus. Certo estava Lichtenberg — citado por Murilo Mendes: “Há quem não ouça até que lhe cortem as orelhas”.

(ALVES, Rubem. O amor que acende a lua. 8. ed. Campinas, SP: Papirus, 1999 – fragmento).
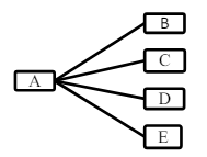
Considere esta frase adaptada do texto:

Uma delas falava do marido hospitalizado, dos médicos e dos exames complicados.

A = uma delas
B = falava
C = do marido hospitalizado
D = dos médicos
E = dos exames complicados

Considerando que as setas representam relações sintáticas, assinale a alternativa que corresponde à estrutura do período.
Desconsidere a ausência de maiúsculas, de pontuação e do “e”.
 

Provas

Questão presente nas seguintes provas
3296081 Ano: 2024
Disciplina: Português
Banca: FUMARC
Orgão: Pref. Betim-MG
Escutatória
Faz muito tempo, nunca me esqueci. Eu ia de ônibus. Atrás, duas mulheres conversavam. Uma delas contava para a amiga os seus sofrimentos. (Contoume uma amiga, nordestina, que o jogo que as mulheres do Nordeste gostam de fazer quando conversam umas com as outras é comparar sofrimentos. Quanto maior o sofrimento, mais bonitas são a mulher e a sua vida. Conversar é a arte de produzir-se literariamente como mulher de sofrimentos. Acho que foi lá que a ópera foi inventada. A alma é uma literatura. É nisso que se baseia a psicanálise...). Voltando ao ônibus. Falavam de sofrimentos. Uma delas contava do marido hospitalizado, dos médicos, dos exames complicados, das injeções na veia — a enfermeira nunca acertava —, dos vômitos e das urinas. Era um relato comovente de dor. Até que o relato chegou ao fim, esperando, evidentemente, o aplauso, a admiração, uma palavra de acolhimento na alma da outra que, supostamente, ouvia. Mas o que a sofredora ouviu foi o seguinte: “Mas isso não é nada...”. A segunda iniciou, então, uma história de sofrimentos incomparavelmente mais terríveis e dignos de uma ópera que os sofrimentos da primeira.
Parafraseio o Alberto Caeiro: “Não é bastante ter ouvidos para se ouvir o que é dito. É preciso também que haja silêncio dentro da alma”. Daí a dificuldade: a gente não aguenta ouvir o que o outro diz sem logo dar um palpite melhor, sem misturar o que ele diz com aquilo que a gente tem a dizer. Como se aquilo que ele diz não fosse digno de descansada consideração e precisasse ser complementado por aquilo que a gente tem a dizer, que é muito melhor. No fundo somos todos iguais às duas mulheres do ônibus. Certo estava Lichtenberg — citado por Murilo Mendes: “Há quem não ouça até que lhe cortem as orelhas”.

(ALVES, Rubem. O amor que acende a lua. 8. ed. Campinas, SP: Papirus, 1999 – fragmento).
Falavam de sofrimentos.

A palavra sofrimentos tem
 

Provas

Questão presente nas seguintes provas
3296080 Ano: 2024
Disciplina: Português
Banca: FUMARC
Orgão: Pref. Betim-MG
Escutatória
Faz muito tempo, nunca me esqueci. Eu ia de ônibus. Atrás, duas mulheres conversavam. Uma delas contava para a amiga os seus sofrimentos. (Contoume uma amiga, nordestina, que o jogo que as mulheres do Nordeste gostam de fazer quando conversam umas com as outras é comparar sofrimentos. Quanto maior o sofrimento, mais bonitas são a mulher e a sua vida. Conversar é a arte de produzir-se literariamente como mulher de sofrimentos. Acho que foi lá que a ópera foi inventada. A alma é uma literatura. É nisso que se baseia a psicanálise...). Voltando ao ônibus. Falavam de sofrimentos. Uma delas contava do marido hospitalizado, dos médicos, dos exames complicados, das injeções na veia — a enfermeira nunca acertava —, dos vômitos e das urinas. Era um relato comovente de dor. Até que o relato chegou ao fim, esperando, evidentemente, o aplauso, a admiração, uma palavra de acolhimento na alma da outra que, supostamente, ouvia. Mas o que a sofredora ouviu foi o seguinte: “Mas isso não é nada...”. A segunda iniciou, então, uma história de sofrimentos incomparavelmente mais terríveis e dignos de uma ópera que os sofrimentos da primeira.
Parafraseio o Alberto Caeiro: “Não é bastante ter ouvidos para se ouvir o que é dito. É preciso também que haja silêncio dentro da alma”. Daí a dificuldade: a gente não aguenta ouvir o que o outro diz sem logo dar um palpite melhor, sem misturar o que ele diz com aquilo que a gente tem a dizer. Como se aquilo que ele diz não fosse digno de descansada consideração e precisasse ser complementado por aquilo que a gente tem a dizer, que é muito melhor. No fundo somos todos iguais às duas mulheres do ônibus. Certo estava Lichtenberg — citado por Murilo Mendes: “Há quem não ouça até que lhe cortem as orelhas”.

(ALVES, Rubem. O amor que acende a lua. 8. ed. Campinas, SP: Papirus, 1999 – fragmento).
Classifique os termos destacados, numerando a segunda coluna de acordo com a primeira.

(1) Sujeito
(2) Objeto direto

( ) Uma delas contava para a amiga os seus sofrimentos.
( ) Contou-me uma amiga...
( ) Parafraseio o Alberto Caeiro...
( ) Certo estava Lichtenberg...

A sequência CORRETA, de cima para baixo, é:
 

Provas

Questão presente nas seguintes provas
3296079 Ano: 2024
Disciplina: Português
Banca: FUMARC
Orgão: Pref. Betim-MG
Escutatória
Faz muito tempo, nunca me esqueci. Eu ia de ônibus. Atrás, duas mulheres conversavam. Uma delas contava para a amiga os seus sofrimentos. (Contoume uma amiga, nordestina, que o jogo que as mulheres do Nordeste gostam de fazer quando conversam umas com as outras é comparar sofrimentos. Quanto maior o sofrimento, mais bonitas são a mulher e a sua vida. Conversar é a arte de produzir-se literariamente como mulher de sofrimentos. Acho que foi lá que a ópera foi inventada. A alma é uma literatura. É nisso que se baseia a psicanálise...). Voltando ao ônibus. Falavam de sofrimentos. Uma delas contava do marido hospitalizado, dos médicos, dos exames complicados, das injeções na veia — a enfermeira nunca acertava —, dos vômitos e das urinas. Era um relato comovente de dor. Até que o relato chegou ao fim, esperando, evidentemente, o aplauso, a admiração, uma palavra de acolhimento na alma da outra que, supostamente, ouvia. Mas o que a sofredora ouviu foi o seguinte: “Mas isso não é nada...”. A segunda iniciou, então, uma história de sofrimentos incomparavelmente mais terríveis e dignos de uma ópera que os sofrimentos da primeira.
Parafraseio o Alberto Caeiro: “Não é bastante ter ouvidos para se ouvir o que é dito. É preciso também que haja silêncio dentro da alma”. Daí a dificuldade: a gente não aguenta ouvir o que o outro diz sem logo dar um palpite melhor, sem misturar o que ele diz com aquilo que a gente tem a dizer. Como se aquilo que ele diz não fosse digno de descansada consideração e precisasse ser complementado por aquilo que a gente tem a dizer, que é muito melhor. No fundo somos todos iguais às duas mulheres do ônibus. Certo estava Lichtenberg — citado por Murilo Mendes: “Há quem não ouça até que lhe cortem as orelhas”.

(ALVES, Rubem. O amor que acende a lua. 8. ed. Campinas, SP: Papirus, 1999 – fragmento).
Faz muito tempo, nunca me esqueci.

A reescrita desse período com a inserção de um conector está CORRETA em:
 

Provas

Questão presente nas seguintes provas
3296078 Ano: 2024
Disciplina: Português
Banca: FUMARC
Orgão: Pref. Betim-MG
Escutatória
Faz muito tempo, nunca me esqueci. Eu ia de ônibus. Atrás, duas mulheres conversavam. Uma delas contava para a amiga os seus sofrimentos. (Contoume uma amiga, nordestina, que o jogo que as mulheres do Nordeste gostam de fazer quando conversam umas com as outras é comparar sofrimentos. Quanto maior o sofrimento, mais bonitas são a mulher e a sua vida. Conversar é a arte de produzir-se literariamente como mulher de sofrimentos. Acho que foi lá que a ópera foi inventada. A alma é uma literatura. É nisso que se baseia a psicanálise...). Voltando ao ônibus. Falavam de sofrimentos. Uma delas contava do marido hospitalizado, dos médicos, dos exames complicados, das injeções na veia — a enfermeira nunca acertava —, dos vômitos e das urinas. Era um relato comovente de dor. Até que o relato chegou ao fim, esperando, evidentemente, o aplauso, a admiração, uma palavra de acolhimento na alma da outra que, supostamente, ouvia. Mas o que a sofredora ouviu foi o seguinte: “Mas isso não é nada...”. A segunda iniciou, então, uma história de sofrimentos incomparavelmente mais terríveis e dignos de uma ópera que os sofrimentos da primeira.
Parafraseio o Alberto Caeiro: “Não é bastante ter ouvidos para se ouvir o que é dito. É preciso também que haja silêncio dentro da alma”. Daí a dificuldade: a gente não aguenta ouvir o que o outro diz sem logo dar um palpite melhor, sem misturar o que ele diz com aquilo que a gente tem a dizer. Como se aquilo que ele diz não fosse digno de descansada consideração e precisasse ser complementado por aquilo que a gente tem a dizer, que é muito melhor. No fundo somos todos iguais às duas mulheres do ônibus. Certo estava Lichtenberg — citado por Murilo Mendes: “Há quem não ouça até que lhe cortem as orelhas”.

(ALVES, Rubem. O amor que acende a lua. 8. ed. Campinas, SP: Papirus, 1999 – fragmento).
Assinale a alternativa que preenche com correção gramatical, coesão e coerência as linhas pontilhadas no texto.
 

Provas

Questão presente nas seguintes provas
3296077 Ano: 2024
Disciplina: Português
Banca: FUMARC
Orgão: Pref. Betim-MG

O pior surdo é o que não quer ouvir

O cego chega no cruzamento e chove gente querendo ajudar. O surdo manda um “quê?” no caixa e recebe um urro na orelha: “CRÉDITO OU DÉBITO?!”. Por alguma razão, acham que o surdo é um preguiçoso, um desleixado que não fez o esforço suficiente para escutar o que foi dito. É mais ou menos como os gordos eram vistos tempos atrás, antes da luta identitária incluí-los em seu cabedal.

Os surdos devem ter vacilado em algum momento. Perderam, talvez, o prazo de inscrição para a inclusão nos protocolos do politicamente correto, perdendo, assim, o bonde da história. Eis aqui uma frase que você nunca ouvirá — e não por ter qualquer problema no ouvido: “Nossa equipe é super diversa, veja só, temos aqui negros, indígenas, mulheres, trans e um deficiente auditivo”.

Antes que me acusem de não ter lugar de fala, aviso: eu padeço de problema nos ouvidos. O que não tenho é lugar de escuta, prejudicada pela otospongiose, doença que acomete cerca de 10% da população mundial. Dentro do ouvido temos três ossinhos: martelo, estribo e bigorna. Por causas desconhecidas, em algumas pessoas esses ossinhos vão ficando esponjosos, e o que deveria fazer um tic-tac ao vibrar dos tímpanos passa a soar abafado como um poc-poc. Não tem cura, mas costuma ser um processo bem lento. Segundo meu otorrino, no ritmo da minha perda, quando eu ficar totalmente surdo, já estarei morto há décadas.

A perda, contudo, incomoda, e como não pretendo passar meus dias restantes sobre a Terra sob berros de “CRÉDITO OU DÉBITO?!” ou “ABAIXA A TV!” ou “PODE VER IPAD, PAPAI?!”, comecei a usar aparelhos. É curioso quanta gente eu descobri, depois que comecei a tocar no assunto, que também precisa usar aparelhos auditivos. Mais curioso ainda é a maioria avassaladora destas pessoas não os usar. Talvez porque associemos o uso dessas traquitanas à velhice — assim como a ela associamos a palavra “traquitana”. Acontece que cabelos brancos, calvície, rugas e pelancas também são sinais da passagem dos anos e as pessoas não costumam ter muito pudor em relação à tintura, implantes, plásticas, botox ou silicone.

Sem falar nos óculos. Ninguém deixa de usar quando surge a “vista cansada”. Conheço uma única pessoa, contudo, que aderiu aos aparelhos auditivos. Lanço aqui, portanto, uma campanha:

#APARELHAMENTO #ESCUTAESSA #VALEOOUVIDO #APARELHAGEM #NÃOOLVIDEOOUVIDO

Não me engajo na causa só por me preocupar com a saúde e a segurança dos meus amigos — a perda de audição causa depressão, degeneração neurológica; deficientes auditivos que usam aparelho vivem, em média, três anos mais do que os que não o usam. Lanço a campanha, também, porque não quero ser o único na praça com um araminho — discretíssimo, diga-se de passagem — entrando pelo ouvido. Já fui “quatro olhos”, pretendo evitar o “quatro ouvidos”.

Vamos lá, amizades. O troço conecta no bluetooth, o celular já toca dentro da sua orelha e você ouve música ou podcasts no supermercado sem precisar de fones. O melhor de tudo é chegar ao caixa e, ao ouvir a voz cristalina do funcionário mal-humorado perguntar “crédito ou débito?”, franzir o cenho e responder “O quê?” — só pra vê-lo irritado.

(PRATA, Antonio. O pior surdo é o que não quer ouvir. Folha de S. Paulo, São

Paulo, 18 fev. 2024. Cotidiano, p. B4. Disponível em: https://www1.fo-

lha.uol.com.br/colunas/antonioprata/2024/02/o-pior-surdo-e-o-que-nao-quer-ou-

vir.shtml. Com adaptações).

Assinale a alternativa em que os elementos destacados exercem a mesma função sintática.
 

Provas

Questão presente nas seguintes provas
3296076 Ano: 2024
Disciplina: Português
Banca: FUMARC
Orgão: Pref. Betim-MG

O pior surdo é o que não quer ouvir

O cego chega no cruzamento e chove gente querendo ajudar. O surdo manda um “quê?” no caixa e recebe um urro na orelha: “CRÉDITO OU DÉBITO?!”. Por alguma razão, acham que o surdo é um preguiçoso, um desleixado que não fez o esforço suficiente para escutar o que foi dito. É mais ou menos como os gordos eram vistos tempos atrás, antes da luta identitária incluí-los em seu cabedal.

Os surdos devem ter vacilado em algum momento. Perderam, talvez, o prazo de inscrição para a inclusão nos protocolos do politicamente correto, perdendo, assim, o bonde da história. Eis aqui uma frase que você nunca ouvirá — e não por ter qualquer problema no ouvido: “Nossa equipe é super diversa, veja só, temos aqui negros, indígenas, mulheres, trans e um deficiente auditivo”.

Antes que me acusem de não ter lugar de fala, aviso: eu padeço de problema nos ouvidos. O que não tenho é lugar de escuta, prejudicada pela otospongiose, doença que acomete cerca de 10% da população mundial. Dentro do ouvido temos três ossinhos: martelo, estribo e bigorna. Por causas desconhecidas, em algumas pessoas esses ossinhos vão ficando esponjosos, e o que deveria fazer um tic-tac ao vibrar dos tímpanos passa a soar abafado como um poc-poc. Não tem cura, mas costuma ser um processo bem lento. Segundo meu otorrino, no ritmo da minha perda, quando eu ficar totalmente surdo, já estarei morto há décadas.

A perda, contudo, incomoda, e como não pretendo passar meus dias restantes sobre a Terra sob berros de “CRÉDITO OU DÉBITO?!” ou “ABAIXA A TV!” ou “PODE VER IPAD, PAPAI?!”, comecei a usar aparelhos. É curioso quanta gente eu descobri, depois que comecei a tocar no assunto, que também precisa usar aparelhos auditivos. Mais curioso ainda é a maioria avassaladora destas pessoas não os usar. Talvez porque associemos o uso dessas traquitanas à velhice — assim como a ela associamos a palavra “traquitana”. Acontece que cabelos brancos, calvície, rugas e pelancas também são sinais da passagem dos anos e as pessoas não costumam ter muito pudor em relação à tintura, implantes, plásticas, botox ou silicone.

Sem falar nos óculos. Ninguém deixa de usar quando surge a “vista cansada”. Conheço uma única pessoa, contudo, que aderiu aos aparelhos auditivos. Lanço aqui, portanto, uma campanha:

#APARELHAMENTO #ESCUTAESSA #VALEOOUVIDO #APARELHAGEM #NÃOOLVIDEOOUVIDO

Não me engajo na causa só por me preocupar com a saúde e a segurança dos meus amigos — a perda de audição causa depressão, degeneração neurológica; deficientes auditivos que usam aparelho vivem, em média, três anos mais do que os que não o usam. Lanço a campanha, também, porque não quero ser o único na praça com um araminho — discretíssimo, diga-se de passagem — entrando pelo ouvido. Já fui “quatro olhos”, pretendo evitar o “quatro ouvidos”.

Vamos lá, amizades. O troço conecta no bluetooth, o celular já toca dentro da sua orelha e você ouve música ou podcasts no supermercado sem precisar de fones. O melhor de tudo é chegar ao caixa e, ao ouvir a voz cristalina do funcionário mal-humorado perguntar “crédito ou débito?”, franzir o cenho e responder “O quê?” — só pra vê-lo irritado.

(PRATA, Antonio. O pior surdo é o que não quer ouvir. Folha de S. Paulo, São

Paulo, 18 fev. 2024. Cotidiano, p. B4. Disponível em: https://www1.fo-

lha.uol.com.br/colunas/antonioprata/2024/02/o-pior-surdo-e-o-que-nao-quer-ou-

vir.shtml. Com adaptações).

Identifique os itens em que há o emprego do sentido conotativo.

I. ... chove gente querendo ajudar.
II. ... acham que o surdo é um preguiçoso...
III. ... perdendo, assim, o bonde da história.
IV. O melhor de tudo é chegar ao caixa...

Os itens são APENAS
 

Provas

Questão presente nas seguintes provas
3296075 Ano: 2024
Disciplina: Português
Banca: FUMARC
Orgão: Pref. Betim-MG

O pior surdo é o que não quer ouvir

O cego chega no cruzamento e chove gente querendo ajudar. O surdo manda um “quê?” no caixa e recebe um urro na orelha: “CRÉDITO OU DÉBITO?!”. Por alguma razão, acham que o surdo é um preguiçoso, um desleixado que não fez o esforço suficiente para escutar o que foi dito. É mais ou menos como os gordos eram vistos tempos atrás, antes da luta identitária incluí-los em seu cabedal.

Os surdos devem ter vacilado em algum momento. Perderam, talvez, o prazo de inscrição para a inclusão nos protocolos do politicamente correto, perdendo, assim, o bonde da história. Eis aqui uma frase que você nunca ouvirá — e não por ter qualquer problema no ouvido: “Nossa equipe é super diversa, veja só, temos aqui negros, indígenas, mulheres, trans e um deficiente auditivo”.

Antes que me acusem de não ter lugar de fala, aviso: eu padeço de problema nos ouvidos. O que não tenho é lugar de escuta, prejudicada pela otospongiose, doença que acomete cerca de 10% da população mundial. Dentro do ouvido temos três ossinhos: martelo, estribo e bigorna. Por causas desconhecidas, em algumas pessoas esses ossinhos vão ficando esponjosos, e o que deveria fazer um tic-tac ao vibrar dos tímpanos passa a soar abafado como um poc-poc. Não tem cura, mas costuma ser um processo bem lento. Segundo meu otorrino, no ritmo da minha perda, quando eu ficar totalmente surdo, já estarei morto há décadas.

A perda, contudo, incomoda, e como não pretendo passar meus dias restantes sobre a Terra sob berros de “CRÉDITO OU DÉBITO?!” ou “ABAIXA A TV!” ou “PODE VER IPAD, PAPAI?!”, comecei a usar aparelhos. É curioso quanta gente eu descobri, depois que comecei a tocar no assunto, que também precisa usar aparelhos auditivos. Mais curioso ainda é a maioria avassaladora destas pessoas não os usar. Talvez porque associemos o uso dessas traquitanas à velhice — assim como a ela associamos a palavra “traquitana”. Acontece que cabelos brancos, calvície, rugas e pelancas também são sinais da passagem dos anos e as pessoas não costumam ter muito pudor em relação à tintura, implantes, plásticas, botox ou silicone.

Sem falar nos óculos. Ninguém deixa de usar quando surge a “vista cansada”. Conheço uma única pessoa, contudo, que aderiu aos aparelhos auditivos. Lanço aqui, portanto, uma campanha:

#APARELHAMENTO #ESCUTAESSA #VALEOOUVIDO #APARELHAGEM #NÃOOLVIDEOOUVIDO

Não me engajo na causa só por me preocupar com a saúde e a segurança dos meus amigos — a perda de audição causa depressão, degeneração neurológica; deficientes auditivos que usam aparelho vivem, em média, três anos mais do que os que não o usam. Lanço a campanha, também, porque não quero ser o único na praça com um araminho — discretíssimo, diga-se de passagem — entrando pelo ouvido. Já fui “quatro olhos”, pretendo evitar o “quatro ouvidos”.

Vamos lá, amizades. O troço conecta no bluetooth, o celular já toca dentro da sua orelha e você ouve música ou podcasts no supermercado sem precisar de fones. O melhor de tudo é chegar ao caixa e, ao ouvir a voz cristalina do funcionário mal-humorado perguntar “crédito ou débito?”, franzir o cenho e responder “O quê?” — só pra vê-lo irritado.

(PRATA, Antonio. O pior surdo é o que não quer ouvir. Folha de S. Paulo, São

Paulo, 18 fev. 2024. Cotidiano, p. B4. Disponível em: https://www1.fo-

lha.uol.com.br/colunas/antonioprata/2024/02/o-pior-surdo-e-o-que-nao-quer-ou-

vir.shtml. Com adaptações).

Assinale a alternativa em que são apresentadas CORRETAMENTE duas consequências para um mesmo fator.
 

Provas

Questão presente nas seguintes provas
3296074 Ano: 2024
Disciplina: Português
Banca: FUMARC
Orgão: Pref. Betim-MG

O pior surdo é o que não quer ouvir

O cego chega no cruzamento e chove gente querendo ajudar. O surdo manda um “quê?” no caixa e recebe um urro na orelha: “CRÉDITO OU DÉBITO?!”. Por alguma razão, acham que o surdo é um preguiçoso, um desleixado que não fez o esforço suficiente para escutar o que foi dito. É mais ou menos como os gordos eram vistos tempos atrás, antes da luta identitária incluí-los em seu cabedal.

Os surdos devem ter vacilado em algum momento. Perderam, talvez, o prazo de inscrição para a inclusão nos protocolos do politicamente correto, perdendo, assim, o bonde da história. Eis aqui uma frase que você nunca ouvirá — e não por ter qualquer problema no ouvido: “Nossa equipe é super diversa, veja só, temos aqui negros, indígenas, mulheres, trans e um deficiente auditivo”.

Antes que me acusem de não ter lugar de fala, aviso: eu padeço de problema nos ouvidos. O que não tenho é lugar de escuta, prejudicada pela otospongiose, doença que acomete cerca de 10% da população mundial. Dentro do ouvido temos três ossinhos: martelo, estribo e bigorna. Por causas desconhecidas, em algumas pessoas esses ossinhos vão ficando esponjosos, e o que deveria fazer um tic-tac ao vibrar dos tímpanos passa a soar abafado como um poc-poc. Não tem cura, mas costuma ser um processo bem lento. Segundo meu otorrino, no ritmo da minha perda, quando eu ficar totalmente surdo, já estarei morto há décadas.

A perda, contudo, incomoda, e como não pretendo passar meus dias restantes sobre a Terra sob berros de “CRÉDITO OU DÉBITO?!” ou “ABAIXA A TV!” ou “PODE VER IPAD, PAPAI?!”, comecei a usar aparelhos. É curioso quanta gente eu descobri, depois que comecei a tocar no assunto, que também precisa usar aparelhos auditivos. Mais curioso ainda é a maioria avassaladora destas pessoas não os usar. Talvez porque associemos o uso dessas traquitanas à velhice — assim como a ela associamos a palavra “traquitana”. Acontece que cabelos brancos, calvície, rugas e pelancas também são sinais da passagem dos anos e as pessoas não costumam ter muito pudor em relação à tintura, implantes, plásticas, botox ou silicone.

Sem falar nos óculos. Ninguém deixa de usar quando surge a “vista cansada”. Conheço uma única pessoa, contudo, que aderiu aos aparelhos auditivos. Lanço aqui, portanto, uma campanha:

#APARELHAMENTO #ESCUTAESSA #VALEOOUVIDO #APARELHAGEM #NÃOOLVIDEOOUVIDO

Não me engajo na causa só por me preocupar com a saúde e a segurança dos meus amigos — a perda de audição causa depressão, degeneração neurológica; deficientes auditivos que usam aparelho vivem, em média, três anos mais do que os que não o usam. Lanço a campanha, também, porque não quero ser o único na praça com um araminho — discretíssimo, diga-se de passagem — entrando pelo ouvido. Já fui “quatro olhos”, pretendo evitar o “quatro ouvidos”.

Vamos lá, amizades. O troço conecta no bluetooth, o celular já toca dentro da sua orelha e você ouve música ou podcasts no supermercado sem precisar de fones. O melhor de tudo é chegar ao caixa e, ao ouvir a voz cristalina do funcionário mal-humorado perguntar “crédito ou débito?”, franzir o cenho e responder “O quê?” — só pra vê-lo irritado.

(PRATA, Antonio. O pior surdo é o que não quer ouvir. Folha de S. Paulo, São

Paulo, 18 fev. 2024. Cotidiano, p. B4. Disponível em: https://www1.fo-

lha.uol.com.br/colunas/antonioprata/2024/02/o-pior-surdo-e-o-que-nao-quer-ou-

vir.shtml. Com adaptações).

Segundo o texto,

I. o uso de aparelhos auditivos pode auxiliar os surdos em suas interações sociais.
II. a grande maioria dos surdos relaciona o uso de aparelhos auditivos a sinais da velhice.
III. o preconceito social em relação aos surdos advém do estado de solidão em que eles vivem.
IV. a publicidade em favor do uso de aparelhos auditivos garante a inclusão social dos surdos.

É CORRETO o que se afirma apenas em:
 

Provas

Questão presente nas seguintes provas
3296073 Ano: 2024
Disciplina: Administração Geral
Banca: FUMARC
Orgão: Pref. Betim-MG

Analise as afirmativas abaixo sob a ótica da temática “liderança nas organizações”.

I. Liderança diz respeito ao gerenciamento da mudança.

II. Os líderes estabelecem direções para as ações, por meio do desenvolvimento de uma visão do futuro.

III. A capacidade de um líder em influenciar pessoas, pode estar associada ao aspecto formal, o cargo que a pessoa exerce na organização.

Está CORRETO o que se afirma em:

 

Provas

Questão presente nas seguintes provas