Foram encontradas 2.536 questões.
Disciplina: Engenharia Elétrica
Banca: CESPE / CEBRASPE
Orgão: Pref. Cachoeiro Itapemirim-ES
O esquema a seguir apresenta um circuito sequencial de dois bits utilizando flip-flops tipo D, que são ativados na borda de subida do sinal de clock. Nesse esquema, não estão mostrados os detalhes dos circuitos de reset e clear, mas esses mecanismos foram adequadamente projetados para assegurar que o estado inicial do sistema seja D1D0 = 00.

Diante dessa situação, julgue o item seguinte.
O circuito apresentado é capaz de gerar uma sequência digital que segue um padrão cíclico, alternando entre os estados 00, 11, 01 e 10, sucessivamente.
Provas
Disciplina: Engenharia Elétrica
Banca: CESPE / CEBRASPE
Orgão: Pref. Cachoeiro Itapemirim-ES
Julgue o próximo item, a respeito das propriedades de materiais condutores e isolantes.
Materiais condutores possuem elétrons livres em sua estrutura atômica, o que facilita a passagem da corrente elétrica; materiais isolantes têm banda de valência completamente preenchida e larga banda proibida, o que impede a movimentação livre de elétrons, dificultando a condução de corrente elétrica.
Provas
Disciplina: Engenharia Elétrica
Banca: CESPE / CEBRASPE
Orgão: Pref. Cachoeiro Itapemirim-ES

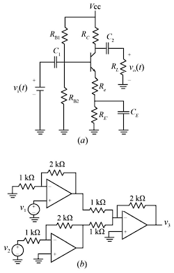
Em relação aos circuitos (a) e (b) precedentes, julgue o item subsequente.
No circuito (b), v3 = −4v1 + 4v2.
Provas
Disciplina: Engenharia Elétrica
Banca: CESPE / CEBRASPE
Orgão: Pref. Cachoeiro Itapemirim-ES

Em relação aos circuitos (a) e (b) precedentes, julgue o item subsequente.
No circuito (a), a análise das tensões e correntes de polarização deve ser realizada considerando-se os capacitores em curto-circuito, e a análise de pequenos sinais, considerando-se os capacitores como circuito aberto.
Provas
Disciplina: Engenharia Elétrica
Banca: CESPE / CEBRASPE
Orgão: Pref. Cachoeiro Itapemirim-ES

Com base nos circuitos (a) e (b) precedentes, julgue o item a seguir.
O módulo da função de transferência do circuito (b) no
domínio da frequência é ![]()
Provas
Disciplina: Engenharia Elétrica
Banca: CESPE / CEBRASPE
Orgão: Pref. Cachoeiro Itapemirim-ES

Com base nos circuitos (a) e (b) precedentes, julgue o item a seguir.
Para ambos os circuitos, a resposta ao degrau unitário, a
partir do instante ![]()
Provas
Disciplina: Engenharia Elétrica
Banca: CESPE / CEBRASPE
Orgão: Pref. Cachoeiro Itapemirim-ES
Acerca da atuação de engenheiros eletricistas, julgue o item seguinte.
Segundo a legislação profissional pertinente, estudo, planejamento, projeto, especificação, direção de obra e serviço técnico referente à transmissão de energia elétrica e seus serviços afins e correlatos são atividades que competem ao engenheiro eletricista, na modalidade eletrotécnica.
Provas
Disciplina: Engenharia Elétrica
Banca: CESPE / CEBRASPE
Orgão: Pref. Cachoeiro Itapemirim-ES
Acerca da atuação de engenheiros eletricistas, julgue o item seguinte.
Na atividade de fiscalização da execução da instalação elétrica de uma obra, o engenheiro eletricista deve concentrar esforços apenas no controle das partes concluídas, já que toda a instalação elétrica pode ser vista e vistoriada após a execução; com isso, ele economiza esforços inúteis no controle de qualidade dos materiais no almoxarifado da obra e na verificação de processos de importância secundária, como caminhos dos circuitos elétricos e qualidade das conexões.
Provas
Disciplina: Engenharia Elétrica
Banca: CESPE / CEBRASPE
Orgão: Pref. Cachoeiro Itapemirim-ES
Julgue o item que se segue, a respeito de acionamentos elétricos e de instalações elétricas de baixa tensão projetadas e executadas conforme as normas técnicas brasileiras.
Como regra geral, o disjuntor de um circuito terminal deve ser dimensionado pelo critério da potência instalada; isso pressupõe, na operação, a possibilidade de utilização simultânea de toda a carga de projeto.
Provas
Disciplina: Engenharia Elétrica
Banca: CESPE / CEBRASPE
Orgão: Pref. Cachoeiro Itapemirim-ES
Julgue o item que se segue, a respeito de acionamentos elétricos e de instalações elétricas de baixa tensão projetadas e executadas conforme as normas técnicas brasileiras.
Em um acionamento que envolva um motor de indução trifásico, é usual que se utilize um relé térmico; os sensores desse dispositivo, presentes no circuito de força do acionamento, monitoram as correntes nas três fases do motor e, em caso de detecção de alguma anormalidade, atuam no circuito de comando, por meio de um contato normalmente fechado, desenergizando a bobina do contator e desligando o motor.
Provas
Caderno Container