Foram encontradas 138 questões.
De acordo com Unicef, 2011 entre os fatores mais prejudiciais
e incidentes aos adolescentes (12 a 17 anos), mais do que
entre outros grupos da polução brasileira, destacam-se,
EXCETO:
Provas
Questão presente nas seguintes provas
Sustenta que o conhecimento está na realidade exterior e é
absorvido por nossos sentidos. O professor é quem detém o
saber. O aprendizado é obtido por meio da cópia, seguida de
memorização.
Segundo as principais concepções sobre a aprendizagem, a qual se refere o trecho acima, podemos afirmar que se refere ao:
Segundo as principais concepções sobre a aprendizagem, a qual se refere o trecho acima, podemos afirmar que se refere ao:
Provas
Questão presente nas seguintes provas
TEXTO I
“Quando Jean-Jacques Rousseau desenvolveu a teoria
do contrato social em obra clássica, não estava sendo o primeiro
a afirmar que o Estado surge de um acordo de vontades. Antes
dele, Thomas Hobbes já desenvolvera teoria semelhante. Existe,
porém, um foco de divergência entre estes autores: se ambos
consideram o homem primitivo vivendo num estado selvagem,
passando à vida em sociedade mediante um pacto comum a
todos, exatamente como se cria uma sociedade civil ou comercial,
vale frisar que Rousseau imaginava uma convivência
individualista, mas cordial, vivendo os homens pacificamente, sem
atrito com seus semelhantes, ao contrário de Hobbes, para quem,
em célebre tirada, "o homem é lobo do próprio homem" (homo
homini lupus). Considerava Hobbes que o homem era um ser
antissocial por natureza, e seu "apetite social" seria o fruto da
necessidade da vida comunitária, fiscalizada por um aparato
social gigantesco destinado a impor a ordem, o Estado, enfim. A
este aparato Hobbes denominava "Leviatã". Esta palavra, de
origem bíblica, designava um monstro mitológico que habitava o
rio Nilo e devorava as populações ribeirinhas, tal como, segundo
Hobbes, o Estado faz com seus súditos...”
ACQUAVIVA, Marcus Cláudio. Teoria Geral do Estado". 2 ed. rev. e aum.
São Paulo: Saraiva, 2000. p. 18/19.
Provas
Questão presente nas seguintes provas
Sobre o Município de Campos Sales, é correto afirmar:
I. O município é dividido nos seguintes distritos: Campos Sales (sede), Barão de Aquiraz, Carmelópolis, Itaguá, Poço de Pedra, Monte Castelo e Guarani.
II. Os bairros de Campos Sales são: Expansão, Alto Alegre, Aparecida, Quixariú, Poço, Barragem, Batalhão e Saquinho.
III. A cidade de Salitre já foi distrito de Campos Sales e desmembrado por Decreto, conquistando sua autonomia política.
Sobre as assertivas acima, é correto afirmar:
Provas
Questão presente nas seguintes provas
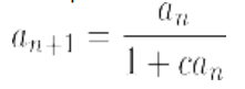
Considere que o primeiro termo da sequência é a1 = 1 , n >
2 e que
Para alguma constante c.
Sabendo que:

Para alguma constante c.
Sabendo que: 
Provas
Questão presente nas seguintes provas
Simplifique a expressão abaixo e marque a alternativa correta.

Provas
Questão presente nas seguintes provas
Encontre o valor da expressão abaixo.
31 + {9 + [1 + (35 - 2)]}
31 + {9 + [1 + (35 - 2)]}
Provas
Questão presente nas seguintes provas
Um grupo de 10 mulheres e 7 homens devem ser organizados
de forma aleatória em uma fileira. Dessa forma, calcule a
probabilidade de que todas as mulheres estejam uma ao lado
da outra.
Provas
Questão presente nas seguintes provas
Cadernos
Caderno Container