Foram encontradas 248 questões.
Sobre a equação polinomial do segundo grau
x² + 4x + 9 = 0, é CORRETO afirmar que:
Provas
Questão presente nas seguintes provas
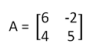
Considerando-se a matriz A abaixo, assinalar a
alternativa que apresenta o valor do determinante dessa
matriz:


Provas
Questão presente nas seguintes provas
Sabendo-se que o sexto termo de certa progressão
geométrica é igual a 972 e que o terceiro termo é igual a 36,
assinalar a alternativa que apresenta o valor da razão dessa
progressão:
Provas
Questão presente nas seguintes provas
Sabendo-se que o primeiro termo de certa progressão
aritmética é igual a 12 e que seu oitavo termo é igual a 40,
assinalar a alternativa que apresenta o resultado da soma
dos 10 primeiros termos dessa progressão:
Provas
Questão presente nas seguintes provas
Um estudante tem um copo com a forma de um cilindro
reto com uma altura interna de 10cm e uma base circular
interna com um raio de 5cm. Ele deseja saber se é possível
despejar 750mL de água no copo sem derramar. A respeito
disso, considerando-se π = 3,14, assinalar a alternativa
CORRETA:
Provas
Questão presente nas seguintes provas
É sabido que, para cada 2 ovos, são necessárias 4
colheres de sopa de açúcar para obter o sabor desejado de
um bolo. Se forem utilizados 8 ovos, mantendo-se a
proporção da receita, ao todo, quantas colheres de sopa de
açúcar devem ser usadas?
Provas
Questão presente nas seguintes provas
A forma decimal de 54/11 é igual a, aproximadamente:
Provas
Questão presente nas seguintes provas
3013751
Ano: 2023
Disciplina: Matemática Financeira
Banca: OBJETIVA
Orgão: Pref. Capela Santana-RS
Disciplina: Matemática Financeira
Banca: OBJETIVA
Orgão: Pref. Capela Santana-RS
Provas:
Tiago emprestou R$ 2.000,00 ao seu filho, o qual pagará
o valor corrigido após 6 meses, na modalidade de juros
simples. Pelos cálculos que fez, Tiago receberá R$ 2.240,00
para quitar o empréstimo. Se seu cálculo está CORRETO, a
taxa de juros utilizada na operação foi de:
Provas
Questão presente nas seguintes provas
Um estudante construiu formas geométricas no geoplano, conforme demonstrado na figura abaixo:

Trata-se de um quadrado maior, um quadrado menor e dois triângulos. Considerando-se as unidades de comprimento descritas na figura, é CORRETO afirmar que o valor da área do triângulo sinalizado com a letra A é:
Provas
Questão presente nas seguintes provas
Os salários dos funcionários de uma empresa foram listados abaixo:
• R$ 1.500,00
• R$ 1.302,00
• R$ 1.405,00
• R$ 1.201,80
Qual é a sua média aritmética salarial?
Provas
Questão presente nas seguintes provas
Cadernos
Caderno Container