Foram encontradas 1.103 questões.
O síndico de um prédio comprou várias mudas de plantas diferentes para fazer um jardim. A tabela mostra o número de mudas compradas de cada tipo e o valor de cada muda.

O valor total gasto nessa compra foi
Provas
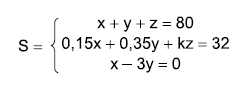
Considere o seguinte sistema linear, sendo k um parâmetro real:

O Sistema S será
Provas
éProvas
Com base nas informações apresentadas no gráfico, assinale a alternativa que contém uma afirmação
necessariamente verdadeira.Provas
A tabela apresenta informações sobre o número de funcionários em um escritório e os salários que são pagos a eles. Utilize as informações para responder à questão seguinte.

Provas
A tabela apresenta informações sobre o número de funcionários em um escritório e os salários que são pagos a eles. Utilize as informações para responder à questão seguinte.

Provas
A tabela apresenta informações sobre o número de funcionários em um escritório e os salários que são pagos a eles. Utilize as informações para responder à questão seguinte.

Provas
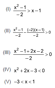
Considere a seguinte resolução para a inequação 

Analisando as passagens apresentadas, é correto afirmar que
Provas
Considere a seguinte representação gráfica completa de uma função ƒ :

Com base nas informações apresentadas, a correta definição e representação algébrica da função ƒ é:
Provas
Sabendo-se que, obedecidas as condições de existência,
a operação M ÷ N
resulta em
Provas
Caderno Container