Foram encontradas 60 questões.
Disciplina: Legislação Municipal
Banca: Consulplan
Orgão: Pref. Congonhas-MG
“O município manterá os livros necessários ao registro de seus serviços.” Considerando esta afirmativa, nas alternativas abaixo, marque V para as verdadeiras e F para as falsas:
( ) Os livros poderão ser substituídos por fichas ou sistema informatizado, com garantia de fidedignidade.
( ) Os livros deverão ser abertos, rubricados e encerrados pelo Prefeito e pelo Secretário desta.
( ) Os livros, fichas ou outro sistema, estarão abertos a consultas de qualquer cidadão, desde que lhe seja deferida em requerimento fundamentado.
A sequência está correta em:
Provas
Provas
Provas
Seja A . B = C onde
tais que x > 0 e y > 0. Qual é o valor do det (A + C)?
Provas
Provas
Provas
Provas
Provas
A área da região em negrito na figura apresentada é igual a:

Provas
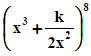
Qual é o valor de k no desenvolvimento de
para que o coeficiente numérico do termo em x9 seja 56?
Provas
Caderno Container