Magna Concursos

Foram encontradas 60 questões.

222605 Ano: 2010
Disciplina: Matemática
Banca: Consulplan
Orgão: Pref. Congonhas-MG
Provas:
Numa gaveta há 12 caixas de fósforo, das quais apenas 3 estão completamente vazias. Retirando-se aleatoriamente 5 caixas dessa gaveta, qual é a probabilidade de que pelo menos duas dessas caixas estejam completamente vazias?
 

Provas

Questão presente nas seguintes provas
222604 Ano: 2010
Disciplina: Matemática
Banca: Consulplan
Orgão: Pref. Congonhas-MG
Provas:
Uma lata de doce em formato cilíndrico apresenta todo seu volume interno com massa de chocolate para se produzir brigadeiros, sendo a altura da lata de 8cm e o raio da base igual a 4cm. Qual o maior número de brigadeiros em formato esférico com 2cm de raio pode ser produzido com a massa de chocolate contida nessa lata?
 

Provas

Questão presente nas seguintes provas
222603 Ano: 2010
Disciplina: Matemática
Banca: Consulplan
Orgão: Pref. Congonhas-MG
Provas:
Num supermercado existem 5 caixas para atendimento aos clientes. De quantas maneiras poderá ser efetuado o atendimento, se pelo menos um dos caixas deve estar em funcionamento?
 

Provas

Questão presente nas seguintes provas
222602 Ano: 2010
Disciplina: Matemática
Banca: Consulplan
Orgão: Pref. Congonhas-MG
Provas:
Sobre as raízes da equação x4 + 6x3 – x2 − 54x − 72 = 0, é correto afirmar que:
 

Provas

Questão presente nas seguintes provas
222601 Ano: 2010
Disciplina: Raciocínio Lógico
Banca: Consulplan
Orgão: Pref. Congonhas-MG
Provas:

Analise as afirmativas:


I. Uma das maneiras de traduzir matematicamente alguns fenômenos é através do estabelecimento de relações de dependência entre as quantidades ou grandezas observadas.

II. A geometria estimula a capacidade de observação do aluno, sua criatividade, por meio do uso de formas geométricas para visualizar, representar ou descrever objetos.


III. O raciocínio lógico-dedutivo, no qual provam-se fatos novos a partir de fatos conhecidos, é a base do conhecimento científico, sendo aplicado com frequência em discussões e debates.

Está(ão) correta(s) apenas a(s) afirmativa(s):

 

Provas

Questão presente nas seguintes provas
222600 Ano: 2010
Disciplina: Matemática
Banca: Consulplan
Orgão: Pref. Congonhas-MG
Provas:
Sejam a e b dois números naturais, tais que m.m.c.(a,b) = 160 e m.d.c.(a,b) = 8. Sendo 2a − b = 48, então a + b é igual a:
 

Provas

Questão presente nas seguintes provas
222599 Ano: 2010
Disciplina: Matemática
Banca: Consulplan
Orgão: Pref. Congonhas-MG
Provas:

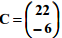
Sejam as matrizes enunciado 222599-1 . Qual o valor da soma x + y, para que o produto A . B seja igual a matriz enunciado 222599-2 ?

 

Provas

Questão presente nas seguintes provas
222593 Ano: 2010
Disciplina: Português
Banca: Consulplan
Orgão: Pref. Congonhas-MG

TEXTO I:

É bastante comum ouvir leigos falarem sobre línguas primitivas, repetindo até o mito já desacreditado de que há certos povos cujas línguas consistem apenas de umas poucas palavras complementadas por gestos. A verdade é que todas as línguas até hoje estudadas, não importa o quanto primitivas as sociedades que as utilizavam nos possam parecer sob outros aspectos, provaram ser, quando investigadas, um sistema de comunicação complexo e altamente desenvolvido. (...)

Todas as línguas vivas, pode-se presumir, são por natureza sistemas eficientes de comunicação. medida que se modificam as necessidades de comunicação de uma sociedade, também se modificará a língua por ela falada, para atender às novas exigências. O vocabulário será ampliado, seja tomando emprestadas palavras estrangeiras, seja criando-as a partir de seus próprios vocábulos já existentes.

(Lyons, John. Língua(gem) e linguística: uma introdução. Rio de Janeiro: Zahar Edirotes, 1982 / com adaptações)

TEXTO II:

Só falta o Senado aprovar o projeto de lei [sobre o uso de termos estrangeiros no Brasil] para que palavras como shopping center, delivery e drive-through sejam proibidas em nomes de estabelecimentos e marcas. Engajado nessa valorosa luta contra o inimigo ianque, que quer fazer área de livre comércio com nosso inculto e belo idioma, venho sugerir algumas outras medidas que serão de extrema importância para a preservação da soberania nacional, a saber:

Nenhum cidadão carioca ou gaúcho poderá dizer “Tu vai” em espaços públicos do território nacional; Nenhum cidadão paulista poderá dizer “Eu lhe amo” e retirar ou acrescentar o plural em sentenças como “Me vê um chopps e dois pastel”; Nenhum dono de borracharia poderá escrever cartaz com a palavra “borraxaria” e nenhum dono de banca de jornal anunciará “Vende-se cigarros”;

Nenhum livro de gramática obrigará os alunos a útilizar colocações pronominais como “casar-me-ei” ou “ver-se-ão”.

(Piza, Daniel. Uma proposta imodesta. O Estado de S. Paulo, São Paulo, 08/04/2001)

A respeito da argumentação presente nos Textos I e II, é correto considerar que os pontos de vista dos autores manifestam:
 

Provas

Questão presente nas seguintes provas
222590 Ano: 2010
Disciplina: Português
Banca: Consulplan
Orgão: Pref. Congonhas-MG

TEXTO I:

É bastante comum ouvir leigos falarem sobre línguas primitivas, repetindo até o mito já desacreditado de que há certos povos cujas línguas consistem apenas de umas poucas palavras complementadas por gestos. A verdade é que todas as línguas até hoje estudadas, não importa o quanto primitivas as sociedades que as utilizavam nos possam parecer sob outros aspectos, provaram ser, quando investigadas, um sistema de comunicação complexo e altamente desenvolvido. (...)

Todas as línguas vivas, pode-se presumir, são por natureza sistemas eficientes de comunicação. medida que se modificam as necessidades de comunicação de uma sociedade, também se modificará a língua por ela falada, para atender às novas exigências. O vocabulário será ampliado, seja tomando emprestadas palavras estrangeiras, seja criando-as a partir de seus próprios vocábulos já existentes.

(Lyons, John. Língua(gem) e linguística: uma introdução. Rio de Janeiro: Zahar Edirotes, 1982 / com adaptações)
De acordo com a argumentação do texto, “o sistema de comunicação de línguas vivas” possui eficiência comprovada por que:
 

Provas

Questão presente nas seguintes provas
222576 Ano: 2010
Disciplina: Português
Banca: Consulplan
Orgão: Pref. Congonhas-MG

TEXTO II:

Só falta o Senado aprovar o projeto de lei [sobre o uso de termos estrangeiros no Brasil] para que palavras como shopping center, delivery e drive-through sejam proibidas em nomes de estabelecimentos e marcas. Engajado nessa valorosa luta contra o inimigo ianque, que quer fazer área de livre comércio com nosso inculto e belo idioma, venho sugerir algumas outras medidas que serão de extrema importância para a preservação da soberania nacional, a saber:

Nenhum cidadão carioca ou gaúcho poderá dizer “Tu vai” em espaços públicos do território nacional; Nenhum cidadão paulista poderá dizer “Eu lhe amo” e retirar ou acrescentar o plural em sentenças como “Me vê um chopps e dois pastel”; Nenhum dono de borracharia poderá escrever cartaz com a palavra “borraxaria” e nenhum dono de banca de jornal anunciará “Vende-se cigarros”;

Nenhum livro de gramática obrigará os alunos a útilizar colocações pronominais como “casar-me-ei” ou “ver-se-ão”.

(Piza, Daniel. Uma proposta imodesta. O Estado de S. Paulo, São Paulo, 08/04/2001)

No primeiro período, o trecho “[sobre o uso de termos estrangeiros no Brasil]” estabelece quanto à estrutura do texto:
 

Provas

Questão presente nas seguintes provas