Foram encontradas 135 questões.
Considere o artigo 71-A, do código tributário do Município de Contagem.
Art. 71-A “O Imposto sobre a Transmissão de Bens Imóveis e de Direitos a eles relativos por Ato Oneroso ‘Inter Vivos’ – ITBI tem como fato gerador:
I - a transmissão onerosa, a qualquer título, da propriedade ou domínio útil de bens imóveis, por natureza ou acessão física, situados no território do Município;
II - a transmissão onerosa, a qualquer título, de direitos reais, exceto os de garantia, sobre imóveis situados no território do Município;
III - a cessão onerosa de direitos relativos à aquisição dos bens referidos nos incisos anteriores.”
Avalie as afirmações a seguir.
I - O ITBI não incide sobre vendas condicionais, as quais são abrangidas pelo ITCD, por expressa determinação legal.
II - O ITBI incide sobre a permuta de bens imóveis e de direitos a eles relativos, figurando como contribuintes cada um dos permutantes.
III - Os escrivães, tabeliães, oficiais de notas de registro de imóveis e de registro de títulos e documentos ficam obrigados a fornecer, quando solicitados, certidões de atos que forem lavrados, transcritos, averbados ou inscritos.
É correto apenas o que se afirma em
Art. 71-A “O Imposto sobre a Transmissão de Bens Imóveis e de Direitos a eles relativos por Ato Oneroso ‘Inter Vivos’ – ITBI tem como fato gerador:
I - a transmissão onerosa, a qualquer título, da propriedade ou domínio útil de bens imóveis, por natureza ou acessão física, situados no território do Município;
II - a transmissão onerosa, a qualquer título, de direitos reais, exceto os de garantia, sobre imóveis situados no território do Município;
III - a cessão onerosa de direitos relativos à aquisição dos bens referidos nos incisos anteriores.”
Avalie as afirmações a seguir.
I - O ITBI não incide sobre vendas condicionais, as quais são abrangidas pelo ITCD, por expressa determinação legal.
II - O ITBI incide sobre a permuta de bens imóveis e de direitos a eles relativos, figurando como contribuintes cada um dos permutantes.
III - Os escrivães, tabeliães, oficiais de notas de registro de imóveis e de registro de títulos e documentos ficam obrigados a fornecer, quando solicitados, certidões de atos que forem lavrados, transcritos, averbados ou inscritos.
É correto apenas o que se afirma em
Provas
Questão presente nas seguintes provas
O Imposto sobre a Propriedade Predial e Territorial
Urbana (IPTU) é um importante imposto em termos
de arrecadação municipal, tem como fato gerador a
propriedade, o domínio útil ou a posse de bem imóvel por natureza ou por acessão física, como definido
na lei civil, construído ou não, localizado na zona urbana do Município.
Sobre o IPTU é correto afirmar que
Sobre o IPTU é correto afirmar que
Provas
Questão presente nas seguintes provas
Sobre o Código Tributário do Município de Contagem
está correto o que se afirma em
Provas
Questão presente nas seguintes provas
De um pedaço quadrado de uma lâmina de metal será cortado um pedaço circular de área máxima e deste será
cortado um quadrado HJKL também de área máxima, conforme ilustra a figura.

O quadrado HJKL será usado para um determinado revestimento e os demais pedaços serão descartados. Nesse sentido, é correto afirmar que a área total do metal descartado corresponde a

O quadrado HJKL será usado para um determinado revestimento e os demais pedaços serão descartados. Nesse sentido, é correto afirmar que a área total do metal descartado corresponde a
Provas
Questão presente nas seguintes provas
Uma pessoa comprou uma mercadoria no valor de
R$ 1.600,00 em um site de compras. Ao selecionar a
forma de pagamento escolheu a opção de duas prestações (com vencimento em 30 e 60 dias, a contar da
data da compra), a uma taxa mensal de juros de 9%.
Sabendo-se que o valor da primeira prestação foi de R$ 872,00, esta pessoa pagará na segunda prestação o valor de R$
Sabendo-se que o valor da primeira prestação foi de R$ 872,00, esta pessoa pagará na segunda prestação o valor de R$
Provas
Questão presente nas seguintes provas
Considere que, em uma pesquisa eleitoral, a margem
de erro seja inversamente proporcional à raiz quadrada do tamanho da amostra da população em estudo.
Assim, supondo que a margem de erro seja de 3% quando são entrevistados 1 600 eleitores, para que a margem de erro seja de 2% a quantidade de eleitores entrevistados deve ser igual a
Assim, supondo que a margem de erro seja de 3% quando são entrevistados 1 600 eleitores, para que a margem de erro seja de 2% a quantidade de eleitores entrevistados deve ser igual a
Provas
Questão presente nas seguintes provas
Observe a figura a seguir.

A figura representa um sistema de caminhos, onde uma bola é solta no ponto A e desce até uma das saídas B, C, D ou E. Em cada bifurcação a bola desce em qualquer um dos lados, com igual probabilidade para cada um.
Assim, a probabilidade da bola finalizar o trajeto percorrido no ponto C é
Provas
Questão presente nas seguintes provas
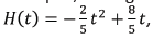
Uma criança chuta, a partir do chão, em uma superfície plana, uma bola cuja trajetória H é descrita em
função do tempo t, em segundos, pelo gráfico da função real
sendo H(t) medida em
metros.
Nessas condições, é correto afirmar que
Nessas condições, é correto afirmar que
Provas
Questão presente nas seguintes provas
Um líquido foi colocado em um funil com o formato
de um cone circular reto e altura igual a 16 cm, ocupando 1/8 do volume desse funil. O líquido deverá
ser todo escoado para um cilindro, cujo raio da base
é igual a um terço do raio da base do funil.
Analise as afirmações a seguir.
I - O volume desse cilindro será 1/3 do volume desse funil, independente da altura de cada um deles.
II - Se a altura do cilindro for menor que 6 cm, o líquido transbordará.
III - Para que o cilindro e o funil tenham o mesmo volume, a altura do cilindro deve ser 1/9 da altura do funil.
Está correto apenas o que se afirma em
I - O volume desse cilindro será 1/3 do volume desse funil, independente da altura de cada um deles.
II - Se a altura do cilindro for menor que 6 cm, o líquido transbordará.
III - Para que o cilindro e o funil tenham o mesmo volume, a altura do cilindro deve ser 1/9 da altura do funil.
Está correto apenas o que se afirma em
Provas
Questão presente nas seguintes provas
Uma função real f é tal que f(x+f(x) )=f(x)-x+3,
para todo real x.
Sabendo-se que f(0)=1, é correto afirmar que o valor de f(5) é igual a
Sabendo-se que f(0)=1, é correto afirmar que o valor de f(5) é igual a
Provas
Questão presente nas seguintes provas
Cadernos
Caderno Container