Foram encontradas 815 questões.
As amigas Cecília e Carla cursam Matemática e gostam de estudar juntas. A
probabilidade de elas estudarem Cálculo é de 80%, e a de estudarem Álgebra
Linear é de 60%. Se a probabilidade de elas estudarem Cálculo ou Álgebra Linear é
de 90%, qual é a probabilidade de estudarem Cálculo e Álgebra Linear ao mesmo
tempo?
Provas
Questão presente nas seguintes provas
Em uma festa, são servidos apenas vinho e cerveja. Sabendo que 3.000 pessoas
participaram da festa, que 1.700 beberam vinho, que 1.500 beberam cerveja e que
300 não beberam nenhum tipo de bebida, quantas pessoas beberam vinho e cerveja?
Provas
Questão presente nas seguintes provas
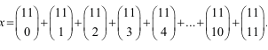
João é filho de um professor de Matemática. No aniversário de João, seu pai
presenteou-lhe com uma quantidade de “x reais”, a qual foi representada pela soma
das parcelas
para
, isto é,
É CORRETO afirmar que João recebeu de presente:
É CORRETO afirmar que João recebeu de presente:
Provas
Questão presente nas seguintes provas
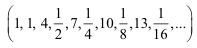
Sabe-se que os termos de ordem ímpar da sequência a seguir formam uma
progressão aritmética (PA), enquanto os de ordem par formam uma progressão
geométrica (PG).
Se a soma S = S1 + S2, em que S é a soma dos 100 primeiros termos de ordem ímpar e S2 é a soma dos infinitos termos de ordem par, então é CORRETO afirmar que S é igual a:
Se a soma S = S1 + S2, em que S é a soma dos 100 primeiros termos de ordem ímpar e S2 é a soma dos infinitos termos de ordem par, então é CORRETO afirmar que S é igual a:
Provas
Questão presente nas seguintes provas
Em um condomínio, deseja-se colocar ladrilhos em uma área de lazer em formato
retangular com perímetro igual a 36m e área máxima. Se 1m² de ladrilhos custa R$ m m
45,00, quanto será gasto para colocar ladrilhos na área de lazer?
Provas
Questão presente nas seguintes provas
Considerando o período da ditadura civil-militar no Brasil, avalie as afirmativas a seguir.
I- Alegando a ameaça comunista e acentuando uma tendência de endurecimento, que vinha desde a eleição do general Costa e Silva, o governo se torna cada vez mais ditatorial, fortalecendo a doutrina de segurança nacional, que torna prioridade entre as Forças Armadas a luta contra a ameaça interna.
II- O processo de abertura política, como prevê Geisel, é linear e homogêneo, dando fortalecimento ao presidente, que, de forma uníssona, recebe apoio dos diversos segmentos do Exército que defendem o fim dos governos militares, transferindo para a sociedade civil a responsabilidade de conter a inflação após a derrocada do “milagre brasileiro”.
III- Entre 1978 e 1979, o processo de abertura política é consolidado. Ao longo desses anos, revoga-se o Ato Institucional – 5 (AI-5), suspende-se a censura e é decretada anistia aos presos políticos.
É CORRETO o que se afirma em:
I- Alegando a ameaça comunista e acentuando uma tendência de endurecimento, que vinha desde a eleição do general Costa e Silva, o governo se torna cada vez mais ditatorial, fortalecendo a doutrina de segurança nacional, que torna prioridade entre as Forças Armadas a luta contra a ameaça interna.
II- O processo de abertura política, como prevê Geisel, é linear e homogêneo, dando fortalecimento ao presidente, que, de forma uníssona, recebe apoio dos diversos segmentos do Exército que defendem o fim dos governos militares, transferindo para a sociedade civil a responsabilidade de conter a inflação após a derrocada do “milagre brasileiro”.
III- Entre 1978 e 1979, o processo de abertura política é consolidado. Ao longo desses anos, revoga-se o Ato Institucional – 5 (AI-5), suspende-se a censura e é decretada anistia aos presos políticos.
É CORRETO o que se afirma em:
Provas
Questão presente nas seguintes provas
Sobre a formação da identidade nacional brasileira no século XIX, é CORRETO afirmar que:
Provas
Questão presente nas seguintes provas
Tendo como premissa a religiosidade na América portuguesa nos séculos XVI e XVII, analise as afirmativas a seguir.
I- Devido à aliança feita entre a Igreja Católica e o Estado no processo de colonização, a hegemonia do catolicismo foi tão marcante que na historiografia só há registros de manifestações religiosas oriundas do catolicismo, dos povos originários e dos povos africanos.
II- Com a anexação de Portugal à Espanha no período da União Ibérica (1580-1640), houve o estímulo ao ingresso de outras ordens religiosas na colônia, a exemplo dos franciscanos, que se destacaram por seguir a ocupação do litoral nordestino, do Rio Grande do Norte a Alagoas.
III- Os maiores conflitos existentes entre o clero e os leigos se deram em torno da escravização dos indígenas, escravização esta que, desde o século XVI, a Companhia de Jesus conseguiu que o governo proibisse tal prática.
É CORRETO o que se afirma apenas em:
I- Devido à aliança feita entre a Igreja Católica e o Estado no processo de colonização, a hegemonia do catolicismo foi tão marcante que na historiografia só há registros de manifestações religiosas oriundas do catolicismo, dos povos originários e dos povos africanos.
II- Com a anexação de Portugal à Espanha no período da União Ibérica (1580-1640), houve o estímulo ao ingresso de outras ordens religiosas na colônia, a exemplo dos franciscanos, que se destacaram por seguir a ocupação do litoral nordestino, do Rio Grande do Norte a Alagoas.
III- Os maiores conflitos existentes entre o clero e os leigos se deram em torno da escravização dos indígenas, escravização esta que, desde o século XVI, a Companhia de Jesus conseguiu que o governo proibisse tal prática.
É CORRETO o que se afirma apenas em:
Provas
Questão presente nas seguintes provas
Considerando a realidade política do Brasil no terceiro milênio, analise as proposições a seguir:
I- Ao assumir a presidência da República, o presidente Fernando Henrique Cardoso deu continuidade mais sistematicamente ao modelo neoliberal. Ao conceber a inflação como o maior problema do país, adotou o ajuste fiscal, cortando recursos do Estado e promovendo a construção de um Estado mínimo.
II- Nas últimas três décadas, o Brasil caminhou em direções distintas, conforme os brasileiros foram convencidos de quais seriam os problemas essenciais que o país teria de enfrentar com base em disputas políticas e ideológicas.
III- As manifestações de 2013 foram capturadas pela esquerda brasileira e garantiram o poder do Partido dos Trabalhadores (PT) no cenário nacional, acentuando a bipolarização da política brasileira.
IV- A mudança do consenso nacional da prioridade das questões sociais para a luta contra a corrupção foi a condição da derrota da esquerda e da vitória da direita brasileira.
É CORRETO o que se afirma em:
I- Ao assumir a presidência da República, o presidente Fernando Henrique Cardoso deu continuidade mais sistematicamente ao modelo neoliberal. Ao conceber a inflação como o maior problema do país, adotou o ajuste fiscal, cortando recursos do Estado e promovendo a construção de um Estado mínimo.
II- Nas últimas três décadas, o Brasil caminhou em direções distintas, conforme os brasileiros foram convencidos de quais seriam os problemas essenciais que o país teria de enfrentar com base em disputas políticas e ideológicas.
III- As manifestações de 2013 foram capturadas pela esquerda brasileira e garantiram o poder do Partido dos Trabalhadores (PT) no cenário nacional, acentuando a bipolarização da política brasileira.
IV- A mudança do consenso nacional da prioridade das questões sociais para a luta contra a corrupção foi a condição da derrota da esquerda e da vitória da direita brasileira.
É CORRETO o que se afirma em:
Provas
Questão presente nas seguintes provas
Sobre os povos originários na América portuguesa, é CORRETO afirmar que:
Provas
Questão presente nas seguintes provas
Cadernos
Caderno Container