Foram encontradas 1.250 questões.
1307313
Ano: 2018
Disciplina: Ética e Regulação Profissional
Banca: IBFC
Orgão: Pref. Divinópolis-MG
Disciplina: Ética e Regulação Profissional
Banca: IBFC
Orgão: Pref. Divinópolis-MG
Provas:
Na atuação do profissional da saúde, manter um bom relacionamento com os demais membros da equipe multidisciplinar em saúde, não diminuir o exercício profissional de outros e nunca diminuir o respeito e a consideração técnica do paciente a um outro profissional, é correto afirmar:
Provas
Questão presente nas seguintes provas
Texto
O menino parado no sinal de trânsito vem em minha direção e pede esmola. Eu preferia que ele não viesse. [...] Sua paisagem é a mesma que a nossa: a esquina, os meios-fios, os postes. Mas ele se move em outro mapa, outro diagrama. Seus pontos de referência são outros.
Como não tem nada, pode ver tudo. Vive num grande playground, onde pode brincar com tudo, desde que “de fora”. O menino de rua só pode brincar no espaço “entre” as coisas. Ele está fora do carro, fora da loja, fora do restaurante. A cidade é uma grande vitrine de impossibilidades. [...] Seu ponto de vista é o contrário do intelectual: ele não vê o conjunto nem tira conclusões históricas – só detalhes interessam. O conceito de tempo para ele é diferente do nosso. Não há segunda-feira, colégio, happy hour. Os momentos não se somam, não armazenam memórias. Só coisas “importantes”: “Está na hora do português da lanchonete despejar o lixo...” ou “estão dormindo no meu caixote...”[...]
Se não sentir fome ou dor, ele curte. Acha natural sair do útero da mãe e logo estar junto aos canos de descarga pedindo dinheiro. Ele se acha normal; nós é que ficamos anormais com a sua presença.
(JABOR, A. O menino está fora da paisagem. O Estado de São Paulo, São Paulo, 14 abr. 2009. Caderno 2, p. D 10)
Com base em seus conhecimentos linguísticos, assinale a alternativa em que se indica, CORRETAMENTE, o elemento em destaque.
Provas
Questão presente nas seguintes provas
Espécies de animais sinantrópicos são aquelas que colonizam habitações humanas e seus arredores retirando vantagens em matéria de abrigo, acesso a alimentos e a água.
Assinale a alternativa correta onde todos os ítens relacionados sejam exemplos de animais sinantrópicos:
Provas
Questão presente nas seguintes provas
Os filmes radiográficos passam por processamento em câmara-escura para a obtenção das imagens que serão analisadas pelo técnico e posteriormente avaliadas pelo médico. Quanto ao processamento automático de filmes, considerando as etapas que o filme radiográfico deve passar, é incorreto afirmar que passará por:
Provas
Questão presente nas seguintes provas
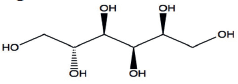
O sorbitol (nome IUPAC (2S,3R,4R,5R)-Hexano- 1,2,3,4,5,6-hexol) é um dos compostos utilizados como meio estabilizante na vacina da febre amarela. Observe a Figura que representa a estrutura molecular do sorbitol, a seguir:

Figura - Molécula de sorbitol
Com relação à molécula do sorbitol, analise as afirmativas abaixo, atribuindo-lhes valores Verdadeiro (V) ou Falso (F).
( ) A molécula do sorbitol possui 8 carbonos em sua estrutura.
( ) Estão presentes as funções éster e álcool.
( ) Existem 14 átomos de hidrogênio na molécula.
( ) O sorbitol é um exemplo da função química álcool.
( ) Há 3 ligações duplas na molécula de sorbitol.
Assinale a alternativa que apresenta a sequência correta, de cima para baixo.
Provas
Questão presente nas seguintes provas
1306638
Ano: 2018
Disciplina: Engenharia Ambiental e Sanitária
Banca: IBFC
Orgão: Pref. Divinópolis-MG
Disciplina: Engenharia Ambiental e Sanitária
Banca: IBFC
Orgão: Pref. Divinópolis-MG
Provas:
“A caracterização e o julgamento do significado do impacto ambiental são feitos a partir da distribuição de valores construídos dentro de uma lógica definida pela equipe de planejamento. Sem dúvida, é um processo de caráter subjetivo. Para tanto, é necessário construir uma estrutura de avaliação em que os planejadores selecionem os critérios e metologia claramente expressos.
O primeiro passo desse processo é identificar _______________ e ______________, a fim de atribuir responsabilidades pelos danos e enquadrá-los em conceitos corretos de ação, processo, impacto, contaminação ou poluição. O segundo passo é _______________ o tipo de impacto diagnosticado, de acordo com a confiabilidade e método de coleta dos dados que subsidiam a informação. Impacto _______________ é aquele que está ocorrendo no momento da verificação [...]. Impacto _______________ é aquele que pode vir a ocorrer, previsto em virtude das atividades e indícios diagnosticados”.
SANTOS, R. F. Planejamento ambiental: teoria e prática.
São Paulo: Oficina de Textos, 2004.
Assinale a alternativa que completa correta e respectivamente as lacunas:
Provas
Questão presente nas seguintes provas
1306586
Ano: 2018
Disciplina: Segurança e Saúde no Trabalho (SST)
Banca: IBFC
Orgão: Pref. Divinópolis-MG
Disciplina: Segurança e Saúde no Trabalho (SST)
Banca: IBFC
Orgão: Pref. Divinópolis-MG
De acordo com a Norma de Higiene Ocupacional NHO 06, a avaliação da exposição ao calor é feita por meio da análise da exposição de cada trabalhador, cobrindo-se todo o seu ciclo de exposição. Quanto as medições é correto afirmar que:
Provas
Questão presente nas seguintes provas
1306109
Ano: 2018
Disciplina: Atualidades e Conhecimentos Gerais
Banca: IBFC
Orgão: Pref. Divinópolis-MG
Disciplina: Atualidades e Conhecimentos Gerais
Banca: IBFC
Orgão: Pref. Divinópolis-MG
Provas:
A Venezuela atualmente passa pela pior crise da sua história. Índices econômicos baixíssimos, instabilidade política, violência e escassez de alimentos fazem parte desse cenário. A Venezuela é um país que tem como base da sua economia:
Provas
Questão presente nas seguintes provas
Analise as afirmativas abaixo e assinale a alternativa correta. A relação interpessoal é a forma como as pessoas lidam com o seu meio social, seja no ambiente familiar ou no trabalho. Os problemas de relacionamentos geram conflitos e afetam diretamente o desempenho das atividades. Uma boa relação com as pessoas pode ocorrer através de:
I. Uma boa comunicação com o outro, sabendo ouvir e se expressar com respeito.
II. Um autoconhecimento, empatia e flexibilidade no comportamento.
III. Um trabalho solidário colocando em segundo plano os objetivos e interesses pessoais.
IV. Uma revisão de paradigma de interação para a competição dos resultados profissionais.
Estão corretas as afirmativas:
Provas
Questão presente nas seguintes provas
Sobre o tratamento farmacológico da insuficiência cardíaca (IC) crônica, considerando as diretrizes da Sociedade Brasileira de Cardiologia, assinale a alternativa que contém a recomendação incorreta.
Provas
Questão presente nas seguintes provas
Cadernos
Caderno Container