Foram encontradas 100 questões.
- SintaxeTermos Essenciais da Oração
- MorfologiaPreposições
- MorfologiaPronomesPronomes PessoaisPronomes Pessoais Oblíquos
- MorfologiaPronomesPronomes Relativos
- Interpretação de TextosCoesão e Coerência

Provas
Questão presente nas seguintes provas

Provas
Questão presente nas seguintes provas
1424598
Ano: 2019
Disciplina: Inglês (Língua Inglesa)
Banca: IMPARH
Orgão: Pref. Fortaleza-CE
Disciplina: Inglês (Língua Inglesa)
Banca: IMPARH
Orgão: Pref. Fortaleza-CE
Provas:

Provas
Questão presente nas seguintes provas
1424597
Ano: 2019
Disciplina: Inglês (Língua Inglesa)
Banca: IMPARH
Orgão: Pref. Fortaleza-CE
Disciplina: Inglês (Língua Inglesa)
Banca: IMPARH
Orgão: Pref. Fortaleza-CE
Provas:

Provas
Questão presente nas seguintes provas
1423438
Ano: 2019
Disciplina: Inglês (Língua Inglesa)
Banca: IMPARH
Orgão: Pref. Fortaleza-CE
Disciplina: Inglês (Língua Inglesa)
Banca: IMPARH
Orgão: Pref. Fortaleza-CE
Provas:
Complete the sentences with the correct form of the verbs to fit the conditional clauses:
I. If Lina hungry, she would have come with us to the restaurant.
II. If he had lived in Italy, he how to speak Italian.
Provas
Questão presente nas seguintes provas
João precisou construir uma parte de uma tampa de concreto
para sua cisterna, que corresponde ao setor circular de ângulo 30
graus. Sabendo que o diâmetro da cisterna é de 2,4 metros,
podemos afirmar que a área a ser construída é de:
Provas
Questão presente nas seguintes provas
As idades dos alunos de uma turma de teatro são: 11, 15, 14,
11, 13, 12, 11, 15, 11, 15 e 11 anos. Com essas informações
podemos dizer que a Média e a Mediana dessa turma são,
respectivamente:
Provas
Questão presente nas seguintes provas
O produto dos fatores 0,0022 e 0,015 pode ser escrito na
forma de notação científica, cuja resposta é:
Provas
Questão presente nas seguintes provas
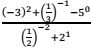
O valor da expressão numérica
é:
Provas
Questão presente nas seguintes provas
Podemos afirmar que a expressão
tem valor igual a:
Provas
Questão presente nas seguintes provas
Cadernos
Caderno Container