Foram encontradas 170 questões.
Disciplina: Inglês (Língua Inglesa)
Banca: UPENET/IAUPE
Orgão: Pref. Garanhuns-PE
Provas
Disciplina: Inglês (Língua Inglesa)
Banca: UPENET/IAUPE
Orgão: Pref. Garanhuns-PE
Why is the person suffering? Because ______.
Provas
- TrigonometriaRelações Trigonométricas na CircunferênciaSinal das razões trigonométricas 1
- TrigonometriaFunções trigonométricasIdentidades trigonométricas fundamentais
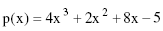
Sabendo que o polinômio
tem o número complexo
como uma de suas raízes, então a soma de todas as raízes de p(x) é igual a
Provas
Disciplina: Matemática Financeira
Banca: UPENET/IAUPE
Orgão: Pref. Garanhuns-PE
Um produto custa x reais, e sofre um aumento de p%. Após alguns dias, a loja deseja dar um desconto para aumentar as vendas. De quantos por cento deve ser o desconto, para que o preço desse produto volte a custar x reais?
Provas
Na figura abaixo, os triângulos ACD e BCE são retângulos congruentes e com área 2cm2. Determine a área do quadrilátero BCDF, sabendo que B é ponto médio do segmento AC.

Provas
Determine o valor de
no polígono côncavo regular abaixo, sabendo-se que os ângulos da base são retos.

Provas
Seja n um número inteiro positivo, a soma dos coeficientes do polinômio p(x) = (x +1)n é
Provas
Quantos inteiros positivos deixam resto igual ao quociente, quando divididos por cinco?
Provas
Considere um sistema linear não-homogêneo A.X = B , onde A = (aij ) é uma matriz de ordem n satisfazendo.

Quanto ao número de soluções do sistema, podemos afirmar:
Provas
Dispondo-se de 20m de tela, deseja-se construir um cercado de forma retangular, aproveitando um muro. Então, a soma das dimensões do cercado de maior área que pode ser construído com esse material é
Provas
Caderno Container