Foram encontradas 92 questões.
Sobre a pneumonia aspirativa, é INCORRETO
afirmar:
Provas
Questão presente nas seguintes provas
Com base na Lei Orgânica do Município de
Guarapuava, examine as opções a seguir e assinale
a que NÃO indica um dos símbolos do município,
representativos de sua cultura e história.
Provas
Questão presente nas seguintes provas
1027838
Ano: 2019
Disciplina: Legislação Estadual e Distrital
Banca: FAUEL
Orgão: Pref. Guarapuava-PR
Disciplina: Legislação Estadual e Distrital
Banca: FAUEL
Orgão: Pref. Guarapuava-PR
Provas:
Com base na Lei Orgânica do Município de
Guarapuava, analise as alternativas a seguir e
marque a que NÃO contém uma das competências
do Município.
Provas
Questão presente nas seguintes provas
O crescimento da população P de uma cidade pode ser analisado a partir da tabela a seguir:

Considerando o ano de 2013 como ano zero da contagem, tal progressão pode ser expressa como uma função, em que P é a população da cidade e t o ano (considerando o ano 2013=0), do tipo:
Provas
Questão presente nas seguintes provas
Recentemente, foi anunciada a alteração na
forma de se definir a medida de um quilograma,
medida padrão para massa, utilizada na ciência
e no cotidiano, no Brasil. Até hoje se utilizava um
objeto como padrão para definição de quanto vale
1kg. A partir de 20/05/2019, 1kg será um múltiplo de
uma constante física, a constante de Planck.
A limitação da forma atual de se definir o quilograma
é a acumulação de sujeira no objeto ou perda
de partículas no manuseio e limpeza. Sabendo
que as medidas indicavam uma flutuação em até
50 microgramas com outros objetos idênticos
guardados em outros locais do mundo, que fração
de um quilograma representa essa flutuação?
(Considere que 1 micrograma é um milionésimo de
grama).
Provas
Questão presente nas seguintes provas
Quatro torneiras de idênticas vazões abertas
enchem um recipiente de 20 l em 30 minutos.
Quantas torneiras iguais a essas são necessárias
para encher um recipiente de 45 l em 45 minutos?
Provas
Questão presente nas seguintes provas
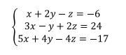
Qual a soma entre as raízes do sistema de equações abaixo?

Provas
Questão presente nas seguintes provas
Quais dos números a seguir pertence ao
conjunto dos Números Irracionais?
Provas
Questão presente nas seguintes provas
Um polígono possui:
Provas
Questão presente nas seguintes provas
Em um relatório contendo medidas de um
terreno para construção de um prédio público,
o profissional encarregado esqueceu-se de
colocar as unidades ao descrever as dimensões
do terreno. Ele escreveu que o terreno é
retangular e possui “200” de largura e “100” de
profundidade. Considerando que este terreno
fica dentro da área urbana de uma cidade das
dimensões de Guarapuava, esse terreno pode ter:
Provas
Questão presente nas seguintes provas
Cadernos
Caderno Container