Foram encontradas 177 questões.
2911743
Ano: 2023
Disciplina: Inglês (Língua Inglesa)
Banca: FUNDATEC
Orgão: Pref. Harmonia-RS
Disciplina: Inglês (Língua Inglesa)
Banca: FUNDATEC
Orgão: Pref. Harmonia-RS
Provas:

Provas
Questão presente nas seguintes provas
2911742
Ano: 2023
Disciplina: Inglês (Língua Inglesa)
Banca: FUNDATEC
Orgão: Pref. Harmonia-RS
Disciplina: Inglês (Língua Inglesa)
Banca: FUNDATEC
Orgão: Pref. Harmonia-RS
Provas:

( ) It is necessary to have lots of special equipment to practice stand-up paddle boarding. ( ) The most expensive equipment item is the board. ( ) The paddle should be taller than you.
The correct order of filling the parentheses, from top to bottom, is:
Provas
Questão presente nas seguintes provas
A Secretaria de Educação do estado do Rio Grande do Sul está fazendo uma
capacitação com os professores da rede de ensino, os quais serão multiplicadores do saber em suas
cidades de origem. Pedro e Mariana estão fazendo o curso em conjunto com mais seis colegas oriundos
do mesmo município. A secretaria de educação do seu município convidará um grupo de quatro desses
professores para uma palestra de formação pedagógica e disseminação do conhecimento adquirido.
Qual a probabilidade de que Pedro e Mariana façam parte desse grupo convidado?
Provas
Questão presente nas seguintes provas
A equação da reta s que passa pelo centro da circunferência
x2 + y2 – 6x + 6y – 7 = 0 e é perpendicular à reta r que possui equação geral –3x + 4y + 21 = 0
é dada por:
Provas
Questão presente nas seguintes provas
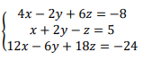
A respeito da solução do sistema linear a seguir
pode-se dizer
que:
pode-se dizer
que:Provas
Questão presente nas seguintes provas
A solução S que satisfaz a equação logarítmica log(x−3)(2x
2 − 14x + 24) = 2 é dada
pelo conjunto:
Provas
Questão presente nas seguintes provas
Ao ensinar os sólidos geométricos para seus alunos, a professora Rosane decidiu
construir as figuras planificadas. Para construir um prisma pentagonal com 20 cm de lado da base e
10 cm de altura, ela precisou de, no mínimo, aproximadamente cm2 de papel.
Assinale a alternativa que preenche corretamente a lacuna do trecho acima.
Considere tg36° = 0,726 e tg54° = 1,37
Assinale a alternativa que preenche corretamente a lacuna do trecho acima.
Considere tg36° = 0,726 e tg54° = 1,37
Provas
Questão presente nas seguintes provas
Patrícia é professora em uma escola e está realizando uma campanha de arrecadação
de produtos de higiene pessoal e produtos de limpeza, para ajudar as pessoas atingidas pela enchente
no mês de junho no Rio Grande do Sul. Seus alunos arrecadaram 1.000 produtos de higiene pessoal
e 800 produtos de limpeza. Ela deve organizar os kits de doação de modo que todos tenham a mesma
quantidade de produtos de higiene pessoal e produtos de limpeza. Considerando que todos os produtos
foram doados e colocados nos kits e, ainda, que a professora organizou os produtos montando a maior
quantidade de kits possíveis, é correto afirmar que:
Provas
Questão presente nas seguintes provas
O polinômio que representa a área de um retângulo com base medindo x + 3 e altura
x – 7 é:
Provas
Questão presente nas seguintes provas
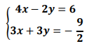
Considerando o sistema de equação de 1º grau a seguir, pode-se afirmar que os
valores de x e y são, respectivamente, iguais a:


Provas
Questão presente nas seguintes provas
Cadernos
Caderno Container