Foram encontradas 40 questões.
Em uma escola, foi realizada uma pesquisa entre os alunos para saber a quais canais
de YouTube eles costumam assistir. O resultado foi o seguinte:
• 40% dos alunos assistem ao canal “Falando”. • 37% dos alunos assistem ao canal “Pois é”. • 17% dos alunos assistem a ambos os canais.
Com base nesses dados, qual é o percentual de alunos que não assistem a nenhum dos dois canais?
• 40% dos alunos assistem ao canal “Falando”. • 37% dos alunos assistem ao canal “Pois é”. • 17% dos alunos assistem a ambos os canais.
Com base nesses dados, qual é o percentual de alunos que não assistem a nenhum dos dois canais?
Provas
Questão presente nas seguintes provas
Um atleta correu 5 voltas completas ao redor de uma pista circular, percorrendo ao
todo 4.710 m. Qual é a medida, em metros, do diâmetro dessa pista? (Considere π = 3,14)
Provas
Questão presente nas seguintes provas
Uma influenciadora digital observou que, em março, tinha 30% mais seguidores do
que em fevereiro. Sabendo que, em março, ela atingiu 26.000 seguidores, qual era o número de
seguidores em fevereiro?
Provas
Questão presente nas seguintes provas
Três números formam uma progressão aritmética (PA) e sua soma é igual a 48. Qual
é o valor do segundo termo dessa PA?
Provas
Questão presente nas seguintes provas
A chácara de Marina tem um terreno retangular que mede 40 m por 25 m. Ela quer
usar 20% dessa área para construir um galpão também retangular, cujo comprimento será de 16 m.
Qual será a largura, em metros, desse galpão?
Provas
Questão presente nas seguintes provas
Uma fábrica recebeu uma carga de azeite de oliva armazenada em 25 tambores com
200 litros cada. Sabendo que o produto será fracionado em frascos de 0,50 dm³ cada, qual será a
quantidade total de frascos produzidos?
Provas
Questão presente nas seguintes provas
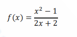
Considerando a função real a seguir, na qual todo x ≠ −1, qual é o valor da função
no ponto x = 5 ?


Provas
Questão presente nas seguintes provas
Qual é o próximo termo da sequência lógica abaixo?
2, 5, 10, 17, 26, ...
Provas
Questão presente nas seguintes provas
Uma pessoa normalmente respira (inspirando e expirando) cerca de 25.920 vezes
por dia. Sabendo que um dia tem 24 horas, quantas vezes, em média, essa pessoa respira por minuto?
Provas
Questão presente nas seguintes provas
Qual é a representação decimal da fração 8/5 ?
Provas
Questão presente nas seguintes provas
Cadernos
Caderno Container