Magna Concursos

Foram encontradas 170 questões.

3931907 Ano: 2025
Disciplina: Matemática
Banca: Consulplan
Orgão: Pref. Indaiatuba-SP
A Secretaria de Infraestrutura de certo município está projetando uma nova praça pública no formato de um quadrado. O ponto A = (2, 2) representa a localização de um dos vértices da praça, e a diagonal BD está contida na reta r: y = x + 3. Considerando esse projeto, qual o perímetro da praça, em unidades de comprimento?
 

Provas

Questão presente nas seguintes provas
3931906 Ano: 2025
Disciplina: Matemática
Banca: Consulplan
Orgão: Pref. Indaiatuba-SP
Durante a elaboração de um sistema de cálculo automático de tributos para uma prefeitura, a equipe técnica propôs utilizar polinômios para modelar o comportamento de algumas variáveis fiscais. Considere que o polinômio P(x) = x3 + a · x2 + b · x + 8, com a e b pertencentes aos números reais, representa um modelo preliminar de projeção de arrecadação. Sabe-se que P(x) é divisível por Q(x) = x2 – x + 1, que representa uma função de ajuste adotada pelo setor de planejamento. Nessas condições, qual é o valor da soma a + b?
 

Provas

Questão presente nas seguintes provas
3931905 Ano: 2025
Disciplina: Matemática
Banca: Consulplan
Orgão: Pref. Indaiatuba-SP
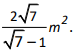
Durante o desenvolvimento de um projeto de praça pública, o arquiteto da prefeitura de determinada cidade propôs um padrão geométrico para ser utilizado em uma parte do piso do parquinho. A proposta consiste na disposição de triângulos equiláteros em sequência. Para isso, utilizou-se um modelo matemático em que os comprimentos dos lados dos triângulos, em metros, seguem a sequência infinita:

Enunciado 4794444-1

Com base no padrão descrito, a soma das áreas de todos esses triângulos, em metros quadrados, é igual a:
 

Provas

Questão presente nas seguintes provas
3931904 Ano: 2025
Disciplina: Matemática
Banca: Consulplan
Orgão: Pref. Indaiatuba-SP
O setor de planejamento de certo município está avaliando como uma transformação representada pela matriz M, quadrada de ordem 2 e invertível, altera e combina indicadores agregados em regiões. O determinante de M, denotado por det M, mede o fator de dilatação/compressão desses indicadores. Para calibrar o modelo, impõe-se que a equação a seguir tenha uma única raiz real para x:


2·det(2 √2x · M) + det( √x · M3) = detM2


A partir dos dados fornecidos, qual o determinante da matriz M?
 

Provas

Questão presente nas seguintes provas
3931903 Ano: 2025
Disciplina: Matemática
Banca: Consulplan
Orgão: Pref. Indaiatuba-SP
Na secretaria de obras de um município, cada projeto licitado recebe um código numérico múltiplo de 5 para facilitar o agrupamento em lotes. Por norma, todos os algarismos do código devem ser distintos para evitar confusão em cadastros e etiquetas. Considerando que, por padronização, os códigos têm 3 ou 4 algarismos (isto é, variam de 100 a 9.999), quantos códigos válidos podem ser gerados?
 

Provas

Questão presente nas seguintes provas
3931902 Ano: 2025
Disciplina: Matemática
Banca: Consulplan
Orgão: Pref. Indaiatuba-SP
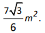
Certo engenheiro, durante um treinamento com sua equipe, propôs um desafio matemático sobre a logo de sua empresa, representada a seguir:



Enunciado 4794441-1

Ao observar a imagem e colocá-la em um plano cartesiano, o engenheiro identificou que a logo é dada pelo retângulo formado pelos pontos A = (–0.8,–0.3); B = (0.8,–0.3); C = (0.8, 0.9); D = (–0.8,0.9); e um semicírculo de diâmetro AB . Com base nessa informação, considerando π = 3, qual é a área aproximada da logo em unidades de área (u.a.)?
 

Provas

Questão presente nas seguintes provas
3931901 Ano: 2025
Disciplina: Matemática
Banca: Consulplan
Orgão: Pref. Indaiatuba-SP
Durante um processo seletivo da secretaria do município de Indaiatuba, foi proposto um desafio lógico aos candidatos. Eles deveriam analisar o nome da cidade para codificar documentos administrativos. Considerando todos os anagramas possíveis da palavra “INDAIATUBA”, qual é a probabilidade de que um deles comece e termine com uma consoante?
 

Provas

Questão presente nas seguintes provas
Determinada prefeitura está fazendo um cruzamento de dados sobre três programas sociais – A, B e C, e as operações com conjuntos representam a análise dos grupos contemplados pelo programa. Considere as afirmações a seguir relativas aos conjuntos A, B e C, não-vazios:

I. A ∩ (U C) = (A B) (A ∩ C). II. Negar que x ∈ A ∩ B  é dizer que x ∉ A ou x ∉ B  .


Como a precisão lógica nessas operações é essencial para evitar erros de inclusão ou exclusão nos relatórios e garantir a boa gestão de recursos públicos, é correto afirmar que:
 

Provas

Questão presente nas seguintes provas
3931899 Ano: 2025
Disciplina: Português
Banca: Consulplan
Orgão: Pref. Indaiatuba-SP
As emoções também passam pelo estômago, revela estudo inédito
Pesquisa captou o “diálogo” entre o cérebro e o aparelho digestivo, fornecendo pistas mensuráveis sobre o impacto do estresse e da ansiedade no corpo
      Quantos de vocês já sentiram dor de barriga em uma semana estressante? Ou passaram dias sem conseguir ir ao banheiro antes de uma prova, de uma reunião ou de um encontro importante? Talvez até o contrário: precisaram correr para o banheiro justamente por estarem ansiosos? Essa ligação entre emoções e corpo é tão comum e fisiológica que praticamente todo mundo já passou por experiências do tipo. O que muitas vezes não se percebe é que há ciência por trás desses episódios – eles não são fruto de coincidência nem de simples “mania”.
      Esse entendimento começou a ganhar força quando os pesquisadores descobriram que trilhões de bactérias que vivem em nosso intestino – a microbiota – produzem substâncias que afetam diretamente o humor e a cognição. O que acontece nessa “amizade colorida”, denominada eixo intestino-cérebro, pode ajudar a determinar se nos sentimos mais deprimidos, ansiosos ou bem-dispostos.
     No dia a dia, costumamos associar o estômago e o intestino ao nervosismo e à ansiedade – basta lembrar de frases como “fiquei com um nó no estômago” ou “deu frio na barriga”. Mas, até agora, quase não havia estudos científicos investigando mais profundamente essa conexão.
      Uma pesquisa recém-publicada na Nature Mental Health amplia essa história ao apurar como essa sensação subjetiva lá na barriga está envolvida nas emoções e se traduz através de medidas objetivas na conversa entre o intestino e o cérebro. O trabalho foi liderado pela pesquisadora Leah Banellis, da Universidade de Aarhus, na Dinamarca. Para investigar o papel do sistema digestivo nessa engrenagem, ela e seus colegas analisaram 243 voluntários.
     Cada participante passou por uma bateria de testes: registros da atividade elétrica do estômago por meio do eletrogastrograma, sessões de ressonância magnética funcional para mapear a atividade cerebral e questionários detalhados sobre saúde mental e emoções. Em seguida, todas essas informações foram cruzadas com a ajuda de técnicas avançadas de aprendizado de máquina, o que permitiu aos cientistas encontrar padrões até então invisíveis.
    O que essa pesquisa encontrou foi inédito: existe um acoplamento entre os ritmos elétricos do estômago e os padrões de atividade do cérebro. Em outras palavras, os dois órgãos “conversam” em termos de ritmo. E aí vem a surpresa: quanto mais forte essa coordenação, piores eram os indicadores de saúde mental.
     Mas como assim “piores”? Não aprendemos que, ao estar em sintonia com o corpo – a respiração e os batimentos cardíacos em ordem –, ganhamos recursos para regular as emoções e nos sentirmos mais saudáveis? Pois, no caso do estômago, os cientistas observaram o contrário. Pessoas cujo cérebro estava mais sincronizado com as ondas estomacais (que acontecem a cada 20 segundos, mesmo sem comida envolvida) relataram mais sintomas de ansiedade, depressão, estresse e fadiga. Já aqueles com comunicação mais fraca apresentaram maior bem-estar e qualidade de vida. Um paradoxo instigante: nem sempre mais diálogo entre corpo e cérebro significa um resultado melhor.
    Não se trata, exatamente, de o estômago “causar” ansiedade ou depressão. O que os dados sugerem é que o padrão de comunicação entre estômago e cérebro pode influenciar – para mais ou para menos – como sentimos nossas emoções. Se essa linha de pesquisa se confirmar (na ciência, tudo depende de vários estudos replicando os mesmos achados), tal sincronia poderá servir como um biomarcador objetivo de saúde mental. Isso significaria que, além da descrição subjetiva dos sintomas, psicólogos e médicos poderiam contar com uma medida fisiológica, obtida por aparelhos relativamente simples. O caminho abriria possibilidades tanto para diagnósticos mais precisos quanto para intervenções inovadoras – de medicamentos e alimentos que modulam o ritmo gástrico a dispositivos capazes de estimular ou regular essa comunicação. O estudo de Lenah Banellis é apenas um entre muitos projetos fascinantes do Center of Functionally Integrative Neuroscience.
(Por Ilana Pinsky. Disponível em: https://veja.abril.com.br/coluna/mens-sana. Acesso em: agosto de 2025. Adaptado.)
Sabe-se que os advérbios são classificados de acordo com “a denominação da circunstância ou de outra ideia acessória que expressam” (CUNHA; CINTRA. 2016). Considerando o exposto, analise os advérbios destacados nos trechos a seguir.


I. “Isso significaria que, além da descrição subjetiva dos sintomas, [...]” (8º§) II. “[...] o que permitiu aos cientistas encontrar padrões até então invisíveis.” (5º§) III. “Essa ligação entre emoções e corpo é tão comum e fisiológica [...]” (1º§) IV. “Mas, até agora, quase não havia estudos científicos investigando mais profundamente essa conexão.” (3º§)

Assinale a alternativa correta.
 

Provas

Questão presente nas seguintes provas
3931898 Ano: 2025
Disciplina: Português
Banca: Consulplan
Orgão: Pref. Indaiatuba-SP
As emoções também passam pelo estômago, revela estudo inédito
Pesquisa captou o “diálogo” entre o cérebro e o aparelho digestivo, fornecendo pistas mensuráveis sobre o impacto do estresse e da ansiedade no corpo
      Quantos de vocês já sentiram dor de barriga em uma semana estressante? Ou passaram dias sem conseguir ir ao banheiro antes de uma prova, de uma reunião ou de um encontro importante? Talvez até o contrário: precisaram correr para o banheiro justamente por estarem ansiosos? Essa ligação entre emoções e corpo é tão comum e fisiológica que praticamente todo mundo já passou por experiências do tipo. O que muitas vezes não se percebe é que há ciência por trás desses episódios – eles não são fruto de coincidência nem de simples “mania”.
      Esse entendimento começou a ganhar força quando os pesquisadores descobriram que trilhões de bactérias que vivem em nosso intestino – a microbiota – produzem substâncias que afetam diretamente o humor e a cognição. O que acontece nessa “amizade colorida”, denominada eixo intestino-cérebro, pode ajudar a determinar se nos sentimos mais deprimidos, ansiosos ou bem-dispostos.
     No dia a dia, costumamos associar o estômago e o intestino ao nervosismo e à ansiedade – basta lembrar de frases como “fiquei com um nó no estômago” ou “deu frio na barriga”. Mas, até agora, quase não havia estudos científicos investigando mais profundamente essa conexão.
      Uma pesquisa recém-publicada na Nature Mental Health amplia essa história ao apurar como essa sensação subjetiva lá na barriga está envolvida nas emoções e se traduz através de medidas objetivas na conversa entre o intestino e o cérebro. O trabalho foi liderado pela pesquisadora Leah Banellis, da Universidade de Aarhus, na Dinamarca. Para investigar o papel do sistema digestivo nessa engrenagem, ela e seus colegas analisaram 243 voluntários.
     Cada participante passou por uma bateria de testes: registros da atividade elétrica do estômago por meio do eletrogastrograma, sessões de ressonância magnética funcional para mapear a atividade cerebral e questionários detalhados sobre saúde mental e emoções. Em seguida, todas essas informações foram cruzadas com a ajuda de técnicas avançadas de aprendizado de máquina, o que permitiu aos cientistas encontrar padrões até então invisíveis.
    O que essa pesquisa encontrou foi inédito: existe um acoplamento entre os ritmos elétricos do estômago e os padrões de atividade do cérebro. Em outras palavras, os dois órgãos “conversam” em termos de ritmo. E aí vem a surpresa: quanto mais forte essa coordenação, piores eram os indicadores de saúde mental.
     Mas como assim “piores”? Não aprendemos que, ao estar em sintonia com o corpo – a respiração e os batimentos cardíacos em ordem –, ganhamos recursos para regular as emoções e nos sentirmos mais saudáveis? Pois, no caso do estômago, os cientistas observaram o contrário. Pessoas cujo cérebro estava mais sincronizado com as ondas estomacais (que acontecem a cada 20 segundos, mesmo sem comida envolvida) relataram mais sintomas de ansiedade, depressão, estresse e fadiga. Já aqueles com comunicação mais fraca apresentaram maior bem-estar e qualidade de vida. Um paradoxo instigante: nem sempre mais diálogo entre corpo e cérebro significa um resultado melhor.
    Não se trata, exatamente, de o estômago “causar” ansiedade ou depressão. O que os dados sugerem é que o padrão de comunicação entre estômago e cérebro pode influenciar – para mais ou para menos – como sentimos nossas emoções. Se essa linha de pesquisa se confirmar (na ciência, tudo depende de vários estudos replicando os mesmos achados), tal sincronia poderá servir como um biomarcador objetivo de saúde mental. Isso significaria que, além da descrição subjetiva dos sintomas, psicólogos e médicos poderiam contar com uma medida fisiológica, obtida por aparelhos relativamente simples. O caminho abriria possibilidades tanto para diagnósticos mais precisos quanto para intervenções inovadoras – de medicamentos e alimentos que modulam o ritmo gástrico a dispositivos capazes de estimular ou regular essa comunicação. O estudo de Lenah Banellis é apenas um entre muitos projetos fascinantes do Center of Functionally Integrative Neuroscience.
(Por Ilana Pinsky. Disponível em: https://veja.abril.com.br/coluna/mens-sana. Acesso em: agosto de 2025. Adaptado.)
Qual palavra do 1º§, transcrita a seguir, NÃO possui dígrafo para representar vogal nasal?
 

Provas

Questão presente nas seguintes provas