Magna Concursos

Foram encontradas 292 questões.

2936793 Ano: 2023
Disciplina: Estatística
Banca: OBJETIVA
Orgão: Pref. Itabuna-BA
Um grupo de 15 amigas tem idades conforme o quadro a seguir:
Enunciado 3266442-1

Assinalar a alternativa que indica corretamente a moda das idades das amigas:
 

Provas

Questão presente nas seguintes provas
2936792 Ano: 2023
Disciplina: Matemática
Banca: OBJETIVA
Orgão: Pref. Itabuna-BA

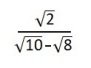
Considerando-se o determinante abaixo, para qual valor de x a igualdade é satisfeita?

Enunciado 3266394-1

 

Provas

Questão presente nas seguintes provas
2936791 Ano: 2023
Disciplina: Matemática
Banca: OBJETIVA
Orgão: Pref. Itabuna-BA
A medida da geratriz de um cone circular reto é de Enunciado 3266393-1 e a medida do raio da base é a metade do valor da medida da geratriz. Qual é o volume desse cone, em cm3 ?
 

Provas

Questão presente nas seguintes provas
2936790 Ano: 2023
Disciplina: Raciocínio Lógico
Banca: OBJETIVA
Orgão: Pref. Itabuna-BA

Considerando-se o resultado da expressão abaixo, qual é o menor número inteiro que é maior do que ele?

Enunciado 3266392-1

 

Provas

Questão presente nas seguintes provas
2936789 Ano: 2023
Disciplina: Raciocínio Lógico
Banca: OBJETIVA
Orgão: Pref. Itabuna-BA

Ao selecionar-se ao acaso um dos números do conjunto abaixo, qual a probabilidade de ele ser um número irracional?

Enunciado 3266391-1

 

Provas

Questão presente nas seguintes provas

Durante um levantamento de dados em uma escola com 120 alunos sobre as dificuldades de cada um nas disciplinas que cursavam, obteve-se os seguintes dados:

Enunciado 3266389-1

Com base nos dados coletados, é CORRETO afirmar que a quantidade de alunos que têm dificuldade em Matemática, Português e História, ao mesmo tempo, é de:

 

Provas

Questão presente nas seguintes provas
O fim da civilização do automóvel?
Quem, em um futuro próximo, precisará ter carro próprio? A pergunta parece soar um tanto sem sentido hoje, mas o radar da mudança do setor automobilístico não para de pulsar. O que ele está anunciando?
Foi-se o tempo em que fazer a autoescola e conquistar a CNH era o sonho dos jovens recém-saídos da adolescência. Hoje, essa geração parece dar muito mais valor para smartphones, tablets e viagens ao exterior. A posse de um carro está lá na quarta, quinta colocação no ranking dos sonhos de consumo.
Aplicativos de carona compartilhada, Uber e meios de transporte ecológicos e politicamente corretos, como a bicicleta, são hoje produtos substitutos do velho e bom automóvel, essa é a verdade. Os dados corroboram esses fatos: de 2014 a 2018, a emissão de CNH caiu 32% em todo o País, segundo dados do Departamento Nacional de Trânsito (Denatran). Ainda, a idade média dos novos condutores aumentou significativamente, chegando em 2014 a 27 anos.
Mais dados: a consultoria Box 1824 ouviu 3 mil jovens entre 18 e 24 anos em 146 cidades brasileiras em junho de 2018. Resultado: apenas 3% deles apontou o carro como prioridade de compra. Nos Estados Unidos, pesquisa da Rockefeller Foundation com jovens na mesma faixa etária relatou que 75% dos entrevistados gostariam de viver em um lugar em que não precisassem ter carro.
Outra pesquisa, realizada em 2015 no Reino Unido pela empresa Prophet, mostrou um dado arrebatador: 65% das pessoas entre 18 e 34 anos preferem um smartphone de última geração a um automóvel novo.
A importância do carro é cada vez menor para as novas gerações, isso é fato, e tecnologias potenciais como a do carro autônomo ajudam a reforçar essa nova visão. Carros sem motorista, conectados ao celular, poderão, em um amanhã muito próximo, apanhar os passageiros em determinado local, deixando-os no destino e ficando livres para os próximos usuários.
Para que ter carro em um mundo assim? Por que pagar IPVA, seguro, combustível e estacionamento e ainda correr o risco de ter o veículo multado, amassado ou roubado? O modelo de negócio da indústria automobilística mudou: de fabricantes de carros, as montadoras terão de se transformar em provedoras de mobilidade, caso contrário, correm sério risco de ficar pelo caminho. Google, Amazon e Apple são gigantes que já estão de olho no promissor mercado de carros autônomos, e estima-se que em 2030 eles representarão 15% da frota mundial.
A Era 4.0 está quebrando paradigmas na poderosa indústria automobilística e a transformará radicalmente nos próximos anos, seja pelo uso de novas tecnologias, que viabilizarão a utilização em larga escala de carros autônomos, seja pela mudança de comportamento dos consumidores, cada vez mais seduzidos pela conveniência de aplicativos como Uber, menos presos à posse e mais afeitos ao uso de carros compartilhados.
(Fonte: Empresas Proativas 4.0 — adaptado.)
A forma verbal sublinhada atende às normas de concordância em:
 

Provas

Questão presente nas seguintes provas
2936785 Ano: 2023
Disciplina: Português
Banca: OBJETIVA
Orgão: Pref. Itabuna-BA
O fim da civilização do automóvel?
Quem, em um futuro próximo, precisará ter carro próprio? A pergunta parece soar um tanto sem sentido hoje, mas o radar da mudança do setor automobilístico não para de pulsar. O que ele está anunciando?
Foi-se o tempo em que fazer a autoescola e conquistar a CNH era o sonho dos jovens recém-saídos da adolescência. Hoje, essa geração parece dar muito mais valor para smartphones, tablets e viagens ao exterior. A posse de um carro está lá na quarta, quinta colocação no ranking dos sonhos de consumo.
Aplicativos de carona compartilhada, Uber e meios de transporte ecológicos e politicamente corretos, como a bicicleta, são hoje produtos substitutos do velho e bom automóvel, essa é a verdade. Os dados corroboram esses fatos: de 2014 a 2018, a emissão de CNH caiu 32% em todo o País, segundo dados do Departamento Nacional de Trânsito (Denatran). Ainda, a idade média dos novos condutores aumentou significativamente, chegando em 2014 a 27 anos.
Mais dados: a consultoria Box 1824 ouviu 3 mil jovens entre 18 e 24 anos em 146 cidades brasileiras em junho de 2018. Resultado: apenas 3% deles apontou o carro como prioridade de compra. Nos Estados Unidos, pesquisa da Rockefeller Foundation com jovens na mesma faixa etária relatou que 75% dos entrevistados gostariam de viver em um lugar em que não precisassem ter carro.
Outra pesquisa, realizada em 2015 no Reino Unido pela empresa Prophet, mostrou um dado arrebatador: 65% das pessoas entre 18 e 34 anos preferem um smartphone de última geração a um automóvel novo.
A importância do carro é cada vez menor para as novas gerações, isso é fato, e tecnologias potenciais como a do carro autônomo ajudam a reforçar essa nova visão. Carros sem motorista, conectados ao celular, poderão, em um amanhã muito próximo, apanhar os passageiros em determinado local, deixando-os no destino e ficando livres para os próximos usuários.
Para que ter carro em um mundo assim? Por que pagar IPVA, seguro, combustível e estacionamento e ainda correr o risco de ter o veículo multado, amassado ou roubado? O modelo de negócio da indústria automobilística mudou: de fabricantes de carros, as montadoras terão de se transformar em provedoras de mobilidade, caso contrário, correm sério risco de ficar pelo caminho. Google, Amazon e Apple são gigantes que já estão de olho no promissor mercado de carros autônomos, e estima-se que em 2030 eles representarão 15% da frota mundial.
A Era 4.0 está quebrando paradigmas na poderosa indústria automobilística e a transformará radicalmente nos próximos anos, seja pelo uso de novas tecnologias, que viabilizarão a utilização em larga escala de carros autônomos, seja pela mudança de comportamento dos consumidores, cada vez mais seduzidos pela conveniência de aplicativos como Uber, menos presos à posse e mais afeitos ao uso de carros compartilhados.
(Fonte: Empresas Proativas 4.0 — adaptado.)
Em relação à lógica construída pela coesão e pela coerência, assinalar a frase CORRETA:
 

Provas

Questão presente nas seguintes provas
O fim da civilização do automóvel?
Quem, em um futuro próximo, precisará ter carro próprio? A pergunta parece soar um tanto sem sentido hoje, mas o radar da mudança do setor automobilístico não para de pulsar. O que ele está anunciando?
Foi-se o tempo em que fazer a autoescola e conquistar a CNH era o sonho dos jovens recém-saídos da adolescência. Hoje, essa geração parece dar muito mais valor para smartphones, tablets e viagens ao exterior. A posse de um carro está lá na quarta, quinta colocação no ranking dos sonhos de consumo.
Aplicativos de carona compartilhada, Uber e meios de transporte ecológicos e politicamente corretos, como a bicicleta, são hoje produtos substitutos do velho e bom automóvel, essa é a verdade. Os dados corroboram esses fatos: de 2014 a 2018, a emissão de CNH caiu 32% em todo o País, segundo dados do Departamento Nacional de Trânsito (Denatran). Ainda, a idade média dos novos condutores aumentou significativamente, chegando em 2014 a 27 anos.
Mais dados: a consultoria Box 1824 ouviu 3 mil jovens entre 18 e 24 anos em 146 cidades brasileiras em junho de 2018. Resultado: apenas 3% deles apontou o carro como prioridade de compra. Nos Estados Unidos, pesquisa da Rockefeller Foundation com jovens na mesma faixa etária relatou que 75% dos entrevistados gostariam de viver em um lugar em que não precisassem ter carro.
Outra pesquisa, realizada em 2015 no Reino Unido pela empresa Prophet, mostrou um dado arrebatador: 65% das pessoas entre 18 e 34 anos preferem um smartphone de última geração a um automóvel novo.
A importância do carro é cada vez menor para as novas gerações, isso é fato, e tecnologias potenciais como a do carro autônomo ajudam a reforçar essa nova visão. Carros sem motorista, conectados ao celular, poderão, em um amanhã muito próximo, apanhar os passageiros em determinado local, deixando-os no destino e ficando livres para os próximos usuários.
Para que ter carro em um mundo assim? Por que pagar IPVA, seguro, combustível e estacionamento e ainda correr o risco de ter o veículo multado, amassado ou roubado? O modelo de negócio da indústria automobilística mudou: de fabricantes de carros, as montadoras terão de se transformar em provedoras de mobilidade, caso contrário, correm sério risco de ficar pelo caminho. Google, Amazon e Apple são gigantes que já estão de olho no promissor mercado de carros autônomos, e estima-se que em 2030 eles representarão 15% da frota mundial.
A Era 4.0 está quebrando paradigmas na poderosa indústria automobilística e a transformará radicalmente nos próximos anos, seja pelo uso de novas tecnologias, que viabilizarão a utilização em larga escala de carros autônomos, seja pela mudança de comportamento dos consumidores, cada vez mais seduzidos pela conveniência de aplicativos como Uber, menos presos à posse e mais afeitos ao uso de carros compartilhados.
(Fonte: Empresas Proativas 4.0 — adaptado.)
Sobre o uso dos pronomes relativos sublinhados abaixo, analisar os itens a seguir:
I. Aquele é o material cujo o professor elaborou. II. Este é o bairro no qual vivo. III. Este é o rapaz que passou na prova.
Está(ão) CORRETO(S):
 

Provas

Questão presente nas seguintes provas
O fim da civilização do automóvel?
Quem, em um futuro próximo, precisará ter carro próprio? A pergunta parece soar um tanto sem sentido hoje, mas o radar da mudança do setor automobilístico não para de pulsar. O que ele está anunciando?
Foi-se o tempo em que fazer a autoescola e conquistar a CNH era o sonho dos jovens recém-saídos da adolescência. Hoje, essa geração parece dar muito mais valor para smartphones, tablets e viagens ao exterior. A posse de um carro está lá na quarta, quinta colocação no ranking dos sonhos de consumo.
Aplicativos de carona compartilhada, Uber e meios de transporte ecológicos e politicamente corretos, como a bicicleta, são hoje produtos substitutos do velho e bom automóvel, essa é a verdade. Os dados corroboram esses fatos: de 2014 a 2018, a emissão de CNH caiu 32% em todo o País, segundo dados do Departamento Nacional de Trânsito (Denatran). Ainda, a idade média dos novos condutores aumentou significativamente, chegando em 2014 a 27 anos.
Mais dados: a consultoria Box 1824 ouviu 3 mil jovens entre 18 e 24 anos em 146 cidades brasileiras em junho de 2018. Resultado: apenas 3% deles apontou o carro como prioridade de compra. Nos Estados Unidos, pesquisa da Rockefeller Foundation com jovens na mesma faixa etária relatou que 75% dos entrevistados gostariam de viver em um lugar em que não precisassem ter carro.
Outra pesquisa, realizada em 2015 no Reino Unido pela empresa Prophet, mostrou um dado arrebatador: 65% das pessoas entre 18 e 34 anos preferem um smartphone de última geração a um automóvel novo.
A importância do carro é cada vez menor para as novas gerações, isso é fato, e tecnologias potenciais como a do carro autônomo ajudam a reforçar essa nova visão. Carros sem motorista, conectados ao celular, poderão, em um amanhã muito próximo, apanhar os passageiros em determinado local, deixando-os no destino e ficando livres para os próximos usuários.
Para que ter carro em um mundo assim? Por que pagar IPVA, seguro, combustível e estacionamento e ainda correr o risco de ter o veículo multado, amassado ou roubado? O modelo de negócio da indústria automobilística mudou: de fabricantes de carros, as montadoras terão de se transformar em provedoras de mobilidade, caso contrário, correm sério risco de ficar pelo caminho. Google, Amazon e Apple são gigantes que já estão de olho no promissor mercado de carros autônomos, e estima-se que em 2030 eles representarão 15% da frota mundial.
A Era 4.0 está quebrando paradigmas na poderosa indústria automobilística e a transformará radicalmente nos próximos anos, seja pelo uso de novas tecnologias, que viabilizarão a utilização em larga escala de carros autônomos, seja pela mudança de comportamento dos consumidores, cada vez mais seduzidos pela conveniência de aplicativos como Uber, menos presos à posse e mais afeitos ao uso de carros compartilhados.
(Fonte: Empresas Proativas 4.0 — adaptado.)
A supressão da vírgula altera o sentido em:
 

Provas

Questão presente nas seguintes provas