Magna Concursos

Foram encontradas 60 questões.

3935927 Ano: 2025
Disciplina: Matemática
Banca: CONSULPAM
Orgão: Pref. Itapoá-SC
Provas:
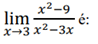
O valor do Enunciado 4887846-1
 

Provas

Questão presente nas seguintes provas
3935926 Ano: 2025
Disciplina: Matemática
Banca: CONSULPAM
Orgão: Pref. Itapoá-SC
Provas:
Considere A, B e C números inteiros positivos tais que A + B + C = 102. Um possível resultado do produto A ∙ B ∙ C é:
 

Provas

Questão presente nas seguintes provas
3935925 Ano: 2025
Disciplina: Matemática Financeira
Banca: CONSULPAM
Orgão: Pref. Itapoá-SC
Provas:
O capital que deve ser aplicado a Juros Compostos durante 4 meses e à taxa de 2% a.m. para resultar em um montante de R$ 6.711,00, é aproximadamente:
 

Provas

Questão presente nas seguintes provas
3935924 Ano: 2025
Disciplina: Matemática
Banca: CONSULPAM
Orgão: Pref. Itapoá-SC
Provas:
Em um triângulo retângulo ABC a hipotenusa mede 3√6 e o  Enunciado 4887843-1 A área desse triângulo é:
 

Provas

Questão presente nas seguintes provas
3935923 Ano: 2025
Disciplina: Estatística
Banca: CONSULPAM
Orgão: Pref. Itapoá-SC
Provas:
O gráfico a seguir apresenta a quantidade de clientes atendidos por uma churrascaria ao longo de uma determinada semana.

Enunciado 4887842-1

Ao juntar os dados de almoço e jantar, a mediana é:
 

Provas

Questão presente nas seguintes provas
3935922 Ano: 2025
Disciplina: Matemática
Banca: CONSULPAM
Orgão: Pref. Itapoá-SC
Provas:
Analise a equação matricial a seguir:

Enunciado 4887841-1

Um possível valor de p para que a equação tenha solução inteira está na alternativa:
 

Provas

Questão presente nas seguintes provas
3935921 Ano: 2025
Disciplina: Matemática
Banca: CONSULPAM
Orgão: Pref. Itapoá-SC
Provas:
Sendo M = (aij) uma matriz quadrada de ordem 3 e aij = j2 – i, o determinante da matriz M é:
 

Provas

Questão presente nas seguintes provas
3935920 Ano: 2025
Disciplina: Matemática
Banca: CONSULPAM
Orgão: Pref. Itapoá-SC
Provas:

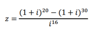
Considere o número complexo a seguir:

Enunciado 4887839-1

A forma algébrica do número complexo acima é:

 

Provas

Questão presente nas seguintes provas
3935919 Ano: 2025
Disciplina: Matemática
Banca: CONSULPAM
Orgão: Pref. Itapoá-SC
Provas:
O coeficiente de x3 no desenvolvimento de (2 – 3x)5 é:
 

Provas

Questão presente nas seguintes provas
3935918 Ano: 2025
Disciplina: Matemática
Banca: CONSULPAM
Orgão: Pref. Itapoá-SC
Provas:
Considere uma progressão aritmética de razão positiva e formada por três termos. Sabe-se que a soma desses termos é igual a 36 e o produto entre eles é 1536. A razão dessa progressão é:
 

Provas

Questão presente nas seguintes provas