Foram encontradas 548 questões.
Assinale a alternativa que apresenta o valor de ³V216
Provas
Questão presente nas seguintes provas
Para encher um balão em 4 segundos, é necessário proporcionar gás a uma velocidade de 12 m³/s. Para encher esse mesmo balão em 3 segundos, o gás deve ser proporcionado a qual a velocidade?
Provas
Questão presente nas seguintes provas
Em um grupo de 200 pessoas, 75% não concorda com determinado assunto. Dessas pessoas que não concordam com esse assunto, 40% são mulheres. Quantas mulheres desse grupo não concordam com esse assunto?
Provas
Questão presente nas seguintes provas
Assinale a alternativa que apresenta CORRETAMENTE o resultado de:


Provas
Questão presente nas seguintes provas
As diagonais de um quadrado medem 4 cm. Qual é a medida da área desse quadrado?
Provas
Questão presente nas seguintes provas
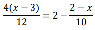
Assinale a alternativa que apresenta CORRETAMENTE a raiz da equação:


Provas
Questão presente nas seguintes provas
No aniversário de Amarildo, há 18 convidados, em que 12 são de sua família e 6 são apenas amigos. Amarildo vai sortear um convidado aleatoriamente para receber uma lembrancinha especial. Qual é a probabilidade de o convidado sorteado ser da família de Amarildo?
Provas
Questão presente nas seguintes provas
Na progressão aritmética {-8, -10, ...}, qual é o 12º termo?
Provas
Questão presente nas seguintes provas
Em uma receita, para cada 250 g de farinha, utiliza-se 150 mL de leite. Quantos litros de leite serão necessários para fazer essa receita com 12 kg de farinha?
Provas
Questão presente nas seguintes provas
Considere a crônica a seguir, escrita pelo jornalista brasileiro Paulo Mendes Campos e publicada originalmente
na década de 1960, para responder à questão.
Brasil brasileiro
Uma vez, numa recepção da nossa embaixada em Londres, uma dama inglesa, depois de ouvir a Aquarela
do Brasil, estranhou ironicamente a associação dos termos “Brasil brasileiro”. A França é francesa, dizia, a
Inglaterra é inglesa, o Afeganistão é afegane, sem que se precise dizer... Minha senhora, respondeu-lhe alguém,
é que o Brasil é muito brasileiro, é o único país brasileiro do mundo, e só quem nos conheça bem será capaz
de entender isto...
Em fase de transição econômica há alguns anos, em fase de reforma desde a mudança do governo, às
vezes penso que o Brasil corre o risco de se tornar pouco brasileiro em alguns sintomas essenciais da nossa
maneira coletiva de ser. Nem sempre é fácil distinguir as virtudes e os defeitos tipicamente brasileiros, havendo
possibilidade de muitos erros de conceituação.
Dentro da relatividade histórica, Dom Pedro I foi muito brasileiro; Dom Pedro II, igualmente. Pois eu acho
que o primeiro possuía vários defeitos essenciais ao caráter brasileiro, enquanto o segundo cultivava virtudes
que podiam ser banidas da nossa formação, virtudes bastante monótonas ou bobocas. A impontualidade em si
é um mal; no Brasil, entretanto, ela é necessária, uma defesa contra o clima e as melancolias do
subdesenvolvimento. Deixar para amanhã o que se pode fazer hoje é outro demérito que não se pode extinguir
da alma nacional.
Uma finta de Garrincha, uma cabeçada de Pelé, uma folha-seca de Didi são parábolas perfeitas de
comportamento brasileiro diante dos problemas da existência. Eles maliciam, eles inventam, eles dão um
jeitinho. Já cuspir no chão e insultar as formas elementares da higiene são também constantes brasileiras, mas
devem ser combatidas furiosamente. Ter horror à pena de morte é um sentimentalismo brasileiro da mais fina
intuição progressista; cultivar o entreguismo da saudade já me parece uma capitulação inútil.
“Deixa isso pra lá” é uma simpática fórmula do perdão nacional; já “o rouba, mas faz” é uma ignorância
vertiginosa. Valorizar em partes iguais a ação e o devaneio (dum lado o trabalho, do outro sombra e água fresca)
é uma intuição brasileira que promete uma síntese do dinamismo do ocidente e a contemplação oriental.
O andar da mulher brasileira, como o café, é uma das grandes riquezas pátrias. Mas o ostensivo e verboso
donjuanismo brasileiro, sobretudo no exterior, é uma praga. Achar-se irresistível é uma das constantes mais
antipáticas do homem verde e amarelo. O relato impudente de façanhas amorosas, a mitomania erótica, o
desrespeito agressivo à dignidade da mulher, são desgraçadamente coisas muito brasileiras.
(“Brasil brasileiro”, por Paulo Mendes Campos, com adaptações)
Provas
Questão presente nas seguintes provas
Cadernos
Caderno Container