Foram encontradas 481 questões.
Observe o mapa a seguir, sobre a distribuição das queijarias no território do município de Jaguaribe-CE:

(ULISSES, Ivaneide. Consumo e tradição: a inserção do queijo coalho de Jaguaribe-CE no mercado de produtos de artesanais (1970-2010), 2016, p. 144).
Sobre a distribuição das queijarias, pode-se concluir, após análise do mapa, que

(ULISSES, Ivaneide. Consumo e tradição: a inserção do queijo coalho de Jaguaribe-CE no mercado de produtos de artesanais (1970-2010), 2016, p. 144).
Sobre a distribuição das queijarias, pode-se concluir, após análise do mapa, que
Provas
Questão presente nas seguintes provas
Assinale a alternativa que não corresponde a um possível Diagnóstico de Enfermagem no tocante às infecções hospitalares.
Provas
Questão presente nas seguintes provas
O índice CPOD, formulado em 1937, é usado pela Organização Mundial de Saúde (OMS) para avaliar a prevalência da cárie dentária em diversos países. Sobre esse tema, avalie as afirmativas abaixo:
I. A idade de 13 anos é referência internacional para o cálculo do índice por ser a idade em que a dentição permanente está praticamente completa. II. A OMS recomenda como ideal um valor de CPOD médio menor do que 1,1 aos 13 anos. III. Em 2010, o CPOD encontrado após a Pesquisa Nacional de Saúde Bucal foi 2,1, o que colocou o Brasil no grupo de países com média prevalência de cárie.
É correto o que se afirma
I. A idade de 13 anos é referência internacional para o cálculo do índice por ser a idade em que a dentição permanente está praticamente completa. II. A OMS recomenda como ideal um valor de CPOD médio menor do que 1,1 aos 13 anos. III. Em 2010, o CPOD encontrado após a Pesquisa Nacional de Saúde Bucal foi 2,1, o que colocou o Brasil no grupo de países com média prevalência de cárie.
É correto o que se afirma
Provas
Questão presente nas seguintes provas
O sarampo é uma infecção causada por um vírus da família dos Paramixovírus, gênero Morbillivirus, e apresenta uma prevalência variável relacionada ao grau da utilização da vacina. Sobre esse tema, assinale a alternativa correta.
Provas
Questão presente nas seguintes provas
Assinale a alternativa que representa corretamente a equação reduzida e o lugar geométrico da equação geral c: x2 + 4y2 + 2x – 12y + 6 = 0.
Provas
Questão presente nas seguintes provas
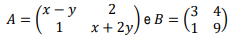
Sejam A e B duas matrizes, dadas por:
![]()
Assinale a alternativa que representa corretamente o valor de R = x + y de modo que A = Bt .
Provas
Questão presente nas seguintes provas
Seja uma Progressão Aritmética, dada por S = (1; −3; 9; … ). Assinale a alternativa que representa corretamente o valor do produto dos 11 primeiros termos, dado por P11.
Provas
Questão presente nas seguintes provas
No que tange à Gestão de Pessoas na Administração Pública,
analise os itens a seguir:
I. A modernização da área, incluindo diversos processos de
Gestão de Pessoas tem contribuído para a melhoria dos
serviços prestados ao público.
II. Há diversas formas de provimento de um cargo público.
Entretanto, a maioria dos casos se dá através de concursos
públicos. Vale salientar que só há provimento através da
nomeação do servidor.
III. No provimento de cargo público é importante que seus
ocupantes possuam características inerentes ao cargo e às
atividades que irão desempenhar.
É correto o que se afirma em:
Provas
Questão presente nas seguintes provas
De acordo com a Lei nº 7.498/1986, que dispõe sobre a
regulamentação do exercício da enfermagem e dá outras
providências, assinale o item verdadeiro acerca das
atribuições do Auxiliar de Enfermagem.
Provas
Questão presente nas seguintes provas
Sobre a assistência de enfermagem a vítimas de queimaduras,
marque o item correto.
I. Queimadura de primeiro grau apresenta a espessura
superficial e afeta somente a epiderme, sem formar bolhas.
Pode descamar em 4 a 6 dias;
II. Queimadura de Segundo grau apresenta espessura parcialsuperficial e profunda e a restauração das lesões ocorre entre
7 e 21 dias;
III. Queimadura de terceiro grau afeta a epiderme, a derme e
estruturas profundas. Não reepiteliza e necessita de enxertia
de pele (indicada também para o segundo grau profundo).
IV. Queimadura de quarto grau afeta a epiderme, a derme e
estruturas profundas. Não reepiteliza e necessita de enxertia
de pele (indicada também para o segundo grau profundo).
Está correto o que se encontra na alternativa:
Provas
Questão presente nas seguintes provas
Cadernos
Caderno Container