Foram encontradas 140 questões.
A Lei Orgânica do Município de Juti – MS, em seu art. 4º, expressa que constituem objetivos
fundamentais do Município de Juti:
I- garantir o desenvolvimento municipal;
II- promover o bem de todos, sem preconceitos de origem, raça, credo religioso, sexo, cor, idade, e
qualquer outras formas de discriminação;
III- zelar pelo respeito, em seu território, aos direitos e garantias asseguradas pela Constituição do Estado
e Constituição Federal;
IV- assegurar a construção de uma sociedade livre, justa e sólida;
V- contribuir para o desenvolvimento estadual e nacional.
É correto afirmar que:
Provas
Questão presente nas seguintes provas
Sabemos que a definição do teorema de Tales diz que se duas retas são transversais de um feixe de retas paralelas, então a razão entre dois segmentos quaisquer de uma delas é igual à razão entre os respectivos segmentos correspondentes da outra. Assim sendo, se tivermos um feixe de 4 retas paralelas determinadas sobre uma transversal obtendo três segmentos cuja medidas são 8 cm, 10 cm e 12 cm, respectivamente, ao determinarmos os comprimentos dos segmentos que esse mesmo feixe determina sobre uma outra transversal, sabendo que o segmento compreendido entre a primeira e a quarta paralela mede 165, teremos respectivamente:
Provas
Questão presente nas seguintes provas
Dado um triângulo isósceles em que a altura relativa à base excede a própria base em 2 metros e que
seu perímetro é 36 metros, podemos concluir que a base desse triângulo mede:
Provas
Questão presente nas seguintes provas
Sabendo que A é uma matriz quadrada de ordem 4 e seu determinante é -6, ou seja det (A) = - 6, tem-se
assim que det (2A) = x – 97. Então, o valor de x neste caso é:
Provas
Questão presente nas seguintes provas
Considere a equação x3 + 3x2 - ax - 15 = 0. Sabendo que as raízes dessa equação formam uma
progressão aritmética, o valor de a é:
Provas
Questão presente nas seguintes provas
o estudarmos polinômios, especificamente a parte que trata da divisão de polinômios, observamos que nos casos em que o valor do resto é igual a zero, temos uma divisão exata. De acordo com essa afirmação, qual a condição necessária para que a divisão de x3 + ax + b por 2x2 + 2x - 6 seja exata?
Provas
Questão presente nas seguintes provas
Sabendo que a função g(x) foi obtida de f(x) = |x| através de uma rotação, uma homotetia e duas
translações, a função g(x) é dada por:
Provas
Questão presente nas seguintes provas
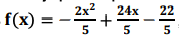
Raul deseja pintar a parede dos fundos de uma igreja que possui um formato parabólico dado pela
função
, com x ∈ [1, 11]. A área que deverá ser pintada é:
Provas
Questão presente nas seguintes provas
Joaquim comprou um terreno no formato de um paralelogramo e pretende plantar grama nas duas
regiões triangulares nas laterais do terreno, conforme destacado na figura seguinte:
A área que Joaquim deverá utilizar para o plantio de grama será:
A área que Joaquim deverá utilizar para o plantio de grama será:
Provas
Questão presente nas seguintes provas
Ao estudar números complexos, o aluno se depara com o seguinte problema: transformar o número
na forma algébrica. A solução correta é:
Provas
Questão presente nas seguintes provas
Cadernos
Caderno Container