Foram encontradas 1.195 questões.
3091918
Ano: 2023
Disciplina: Atualidades e Conhecimentos Gerais
Banca: Darwin
Orgão: Pref. Lagoa Itaenga-PE
Disciplina: Atualidades e Conhecimentos Gerais
Banca: Darwin
Orgão: Pref. Lagoa Itaenga-PE
Provas:
Sobre o Distrito Federal é correto afirmar:
Provas
Questão presente nas seguintes provas
3091917
Ano: 2023
Disciplina: Atualidades e Conhecimentos Gerais
Banca: Darwin
Orgão: Pref. Lagoa Itaenga-PE
Disciplina: Atualidades e Conhecimentos Gerais
Banca: Darwin
Orgão: Pref. Lagoa Itaenga-PE
Provas:
Em 2009, o Congresso Nacional aprovou a Lei
12.077, que estabelece o Dia Nacional da Alimentação,
que se refere ao dia:
Provas
Questão presente nas seguintes provas
3091916
Ano: 2023
Disciplina: Atualidades e Conhecimentos Gerais
Banca: Darwin
Orgão: Pref. Lagoa Itaenga-PE
Disciplina: Atualidades e Conhecimentos Gerais
Banca: Darwin
Orgão: Pref. Lagoa Itaenga-PE
Provas:
O uso de cores temáticas nos meses vem ganhando
força ao longo das duas últimas décadas.
Representando a cada mês um assunto de grande
importância para a sociedade. Em maio a cor
representante é a amarela, que representa o combate
a(o)s:
Provas
Questão presente nas seguintes provas
3091915
Ano: 2023
Disciplina: Atualidades e Conhecimentos Gerais
Banca: Darwin
Orgão: Pref. Lagoa Itaenga-PE
Disciplina: Atualidades e Conhecimentos Gerais
Banca: Darwin
Orgão: Pref. Lagoa Itaenga-PE
Provas:
A vacinação em massa no Brasil contra a Covid-19
teve início no:
Provas
Questão presente nas seguintes provas
3091914
Ano: 2023
Disciplina: Atualidades e Conhecimentos Gerais
Banca: Darwin
Orgão: Pref. Lagoa Itaenga-PE
Disciplina: Atualidades e Conhecimentos Gerais
Banca: Darwin
Orgão: Pref. Lagoa Itaenga-PE
Provas:
Estão entre as principais ONGs Ambientais no Brasil,
EXCETO:
Provas
Questão presente nas seguintes provas
3091913
Ano: 2023
Disciplina: Atualidades e Conhecimentos Gerais
Banca: Darwin
Orgão: Pref. Lagoa Itaenga-PE
Disciplina: Atualidades e Conhecimentos Gerais
Banca: Darwin
Orgão: Pref. Lagoa Itaenga-PE
Provas:
A Ementa que instituiu regime extraordinário fiscal,
financeiro e de contratações para enfrentamento de
calamidade pública nacional decorrente de pandemia
ficou conhecida como:
Provas
Questão presente nas seguintes provas
3091912
Ano: 2023
Disciplina: Atualidades e Conhecimentos Gerais
Banca: Darwin
Orgão: Pref. Lagoa Itaenga-PE
Disciplina: Atualidades e Conhecimentos Gerais
Banca: Darwin
Orgão: Pref. Lagoa Itaenga-PE
Provas:
Indique o meio de transporte de cargas
predominante do Brasil:
Provas
Questão presente nas seguintes provas
3091911
Ano: 2023
Disciplina: Atualidades e Conhecimentos Gerais
Banca: Darwin
Orgão: Pref. Lagoa Itaenga-PE
Disciplina: Atualidades e Conhecimentos Gerais
Banca: Darwin
Orgão: Pref. Lagoa Itaenga-PE
Provas:
Em 2022, o Brasil possuía 5.570 municípios. O
Estado com mais municípios é:
Provas
Questão presente nas seguintes provas
Apresenta movimento apressado dos pés, de forma simétrica e rápida.
O texto descreve que tipo de marcha?
Provas
Questão presente nas seguintes provas
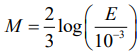
A Escala Richter é um sistema criado por dois
americanos para medir os movimentos sísmicos na
Califórnia, nos Estados Unidos. Em 1935, Charles
Richter (1900 - 1985), juntamente com seu colega
Bueno Gutemberg (1889 - 1960), desenvolveu o
sistema que mede a potência de um tremor em um
determinado lugar. A criação da Escala Richter
possibilitou uma medição e ainda uma comparação
mais precisa entre os terremotos, além de contribuir para estudos relacionados aos impactos dos abalos
sísmicos. Na escala Richter, a magnitude
M
de um
terremoto, expressa em graus, é definida da
seguinte forma

Em que E representa a energia liberada pelo terremoto, medida em kWh . Qual é a energia liberada por um terremoto de 4 graus na escala Richter?

Em que E representa a energia liberada pelo terremoto, medida em kWh . Qual é a energia liberada por um terremoto de 4 graus na escala Richter?
Provas
Questão presente nas seguintes provas
Cadernos
Caderno Container