Magna Concursos

Foram encontradas 40 questões.

2730585 Ano: 2009
Disciplina: Direito Constitucional
Banca: UFMG
Orgão: Pref. Lavras-MG
Provas:

De acordo com a Constituição Federal, o ensino será ministrado com base nos seguintes princípios, EXCETO

 

Provas

Questão presente nas seguintes provas
1687443 Ano: 2009
Disciplina: Pedagogia
Banca: UFMG
Orgão: Pref. Lavras-MG
Provas:

De acordo com as propostas dos Parâmetros Curriculares Nacionais de Matemática dedicados aos 3° e 4° ciclos do ensino fundamental, analise as seguintes afirmativas e assinale a alternativa INCORRETA.

 

Provas

Questão presente nas seguintes provas
1687442 Ano: 2009
Disciplina: Pedagogia
Banca: UFMG
Orgão: Pref. Lavras-MG
Provas:

De acordo com os Parâmetros Curriculares Nacionais de Matemática dedicados aos 3° e 4° ciclos do ensino fundamental, a resolução de problemas, como eixo organizador do processo de ensino e aprendizagem de matemática, pode ser resumida nos seguintes princípios, EXCETO

 

Provas

Questão presente nas seguintes provas
1687441 Ano: 2009
Disciplina: Matemática
Banca: UFMG
Orgão: Pref. Lavras-MG
Provas:

Se da soma de ab + bc + ac com -7bc + 8ac – 9 subtrairmos a soma de 4ac – 3bc + 5ab com 3bc + 5ac – ab, obteremos

 

Provas

Questão presente nas seguintes provas
1687440 Ano: 2009
Disciplina: Matemática
Banca: UFMG
Orgão: Pref. Lavras-MG
Provas:

Num trapézio, a soma das bases mede 55 cm e a razão dos seus comprimentos é 5/6.

Se a área do trapézio for igual 330 cm2, sua altura mede

 

Provas

Questão presente nas seguintes provas
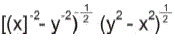
1687439 Ano: 2009
Disciplina: Matemática
Banca: UFMG
Orgão: Pref. Lavras-MG
Provas:
Calculando enunciado 1687439-1, obtemos a simplificação
 

Provas

Questão presente nas seguintes provas
1687438 Ano: 2009
Disciplina: Matemática
Banca: UFMG
Orgão: Pref. Lavras-MG
Provas:

Se sen x = enunciado 1687438-1, então tan x =

 

Provas

Questão presente nas seguintes provas
1687437 Ano: 2009
Disciplina: Matemática
Banca: UFMG
Orgão: Pref. Lavras-MG
Provas:

A área de um triângulo cujos lados medem 6 cm, 8 cm e 12 cm é

 

Provas

Questão presente nas seguintes provas
1687436 Ano: 2009
Disciplina: Matemática
Banca: UFMG
Orgão: Pref. Lavras-MG
Provas:

Um ponto está a 3 cm do centro de um círculo que tem 12,56 cm2 de área.

A menor distância desse ponto à circunferência do círculo é

 

Provas

Questão presente nas seguintes provas
1687435 Ano: 2009
Disciplina: Matemática
Banca: UFMG
Orgão: Pref. Lavras-MG
Provas:

De um cubo de 5 m de aresta retira-se um cilindro de 3 m de diâmetro e altura igual à aresta do cubo.

O volume que sobra do cubo mede

 

Provas

Questão presente nas seguintes provas