Magna Concursos

Foram encontradas 186 questões.

994329 Ano: 2019
Disciplina: Matemática
Banca: FUNDATEC
Orgão: Pref. Maçambara-RS
Provas:
A alternativa que apresenta todos os divisores positivos do número 36 é:
 

Provas

Questão presente nas seguintes provas
994328 Ano: 2019
Disciplina: Matemática
Banca: FUNDATEC
Orgão: Pref. Maçambara-RS
Provas:

Lista de símbolos:

Condicional

Bicondicional

Λ Conector “e”

V Conector “ou”

V Conector “ou” exclusivo

¬ Negação da proposição

Pedro e João têm um lucro de R$ 800,00 para dividir. Decidem, portanto, fazer isso de forma diretamente proporcional a 3 e 5, respectivamente, para Pedro e João. Sendo assim, as partes recebidas por Pedro e João são:
 

Provas

Questão presente nas seguintes provas
994327 Ano: 2019
Disciplina: Matemática
Banca: FUNDATEC
Orgão: Pref. Maçambara-RS
Provas:
Pedro lê um livro de 624 páginas em um ano. Sabendo que Pedro lê sempre o mesmo número de páginas por mês, o número de páginas lidas em abril por Pedro é:
 

Provas

Questão presente nas seguintes provas
994326 Ano: 2019
Disciplina: Matemática
Banca: FUNDATEC
Orgão: Pref. Maçambara-RS
Provas:
A forma fatorada da equação do segundo grau x2 + x - 20 = 0 é:
 

Provas

Questão presente nas seguintes provas
994325 Ano: 2019
Disciplina: Matemática
Banca: FUNDATEC
Orgão: Pref. Maçambara-RS
Provas:

Lista de símbolos:

Condicional

Bicondicional

Conector “e”

Conector “ou”

Conector “ou” exclusivo

¬ Negação da proposição

A forma fatorada da equação do segundo grau x2 + x - 20 = 0 é:
 

Provas

Questão presente nas seguintes provas
994324 Ano: 2019
Disciplina: Matemática
Banca: FUNDATEC
Orgão: Pref. Maçambara-RS
Provas:

Lista de símbolos:

Condicional

Bicondicional

Λ Conector “e”

V Conector “ou”

V Conector “ou” exclusivo

¬ Negação da proposição

Se f(x) = x2 + 4x +10 então f(1) é:

 

Provas

Questão presente nas seguintes provas
994323 Ano: 2019
Disciplina: Matemática
Banca: FUNDATEC
Orgão: Pref. Maçambara-RS
Provas:
A forma fatorada da equação do segundo grau x² + x – 20 = 0 é:
 

Provas

Questão presente nas seguintes provas
994322 Ano: 2019
Disciplina: Matemática
Banca: FUNDATEC
Orgão: Pref. Maçambara-RS
Provas:
No que diz respeito ao imposto sobre propriedade predial e territorial urbana, o valor venal do terreno resultará da multiplicação do preço do metro quadrado de terreno pela sua área. Anteriormente a isso, é necessário determinar a área de terreno que será utilizada no cálculo, de forma que a área real do terreno deve ser multiplicada pelo índice de correção (IC). A área resultante (nova metragem quadrada de terreno), que pode coincidir ou não com a real, é denominada “área corrigida”. Com base na fórmula de Harper e demais dados abaixo, assinale a alternativa que apresenta a área a ser utilizada para determinar o valor venal do terreno ilustrado.
Dados: enunciado 994322-1 IC = √ PP/PM
Onde: PM – Profundidade média (real do lote). PP – Profundidade padrão (considere a 1ª Divisão Fiscal = 40 m).
 

Provas

Questão presente nas seguintes provas
994321 Ano: 2019
Disciplina: Matemática
Banca: FUNDATEC
Orgão: Pref. Maçambara-RS
Provas:

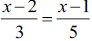
O valor de “x” que resolve a proporção enunciado 994321-1 é:

 

Provas

Questão presente nas seguintes provas
994320 Ano: 2019
Disciplina: Matemática
Banca: FUNDATEC
Orgão: Pref. Maçambara-RS
Provas:

Lista de símbolos:

Condicional

Bicondicional

Λ Conector “e”

V Conector “ou”

V Conector “ou” exclusivo

¬ Negação da proposição

Se a medida do lado de um quadrado aumenta 10%, então a sua área:
 

Provas

Questão presente nas seguintes provas