Foram encontradas 60 questões.
- LegislaçãoLei 9.394/1996: Lei de Diretrizes e Bases da Educação Nacional
- LegislaçãoLei 10.639/2003: Obrigatoriedade Temática - História e Cultura Afro-Brasileira
Provas
Provas
Dessa forma, a quantidade de nutriente 3 que estão presentes em um quilograma da porção é de
Provas
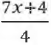
Considere as funções f(x - 4) =
e g{3x + 1) =
6x + 5, definidas de
. Dessa forma, pode-se
afirmar que g (f(f(x ))) é igual a:
Provas
Na figura a seguir, tem-se um triângulo isósceles PQR de perímetro 2x{1+ √2), na qual
=x√2. Sabe-se também que R é o ponto de intersecção de PQR com o eixo t.

Mantendo-se
paralelo ao eixo t e R e t, na
rotação completa (360°) desse triângulo, em torno
do eixo t, obtem-se um sólido de volume
congruente ao volume de um(a):
Provas
Dessa forma, o volume deste cone, em cm³, é
Provas
O departamento de comunicação e marketing dessa empresa projetou um chaveiro em 3 dimensões para o brinde de Natal, mas o valor gasto seria diretamente proporcional à área da superfície, que receberia uma fina camada de tinta amarela brilhosa. Se a tinta custa R$ 0,04 o cm², calcule o gasto total com brindes, na confecção de 120 chaveiros. Considere a aresta dos cubos de medida 1,5 cm.
Provas
Uma escola organiza em uma planilha, os gastos com os salários dos funcionários de alguns segmentos.

Em abril, houve um reajuste salarial para esses funcionários, que receberam um aumento de 10% sobre os salários da tabela. Se com esse aumento, a média salarial passou para R$ 1650,00, calcule o valor, em reais, do novo salário do Diretor da escola.
Provas
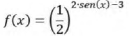
Considere uma função f , de domínio real, dada pela relação:

Dessa forma, calcule o máximo valor assumido pela imagem de f.
Provas
Calcule o valor do determinante.

Provas
Caderno Container